Контрольная работа: Анализ экономических задач оптимизации
Контрольная работа: Анализ экономических задач оптимизации
ФЕДЕРАЛЬНОЕ АГЕНСТВО ПО
ОБРАЗОВАНИЮ
Государственное
образовательное учреждение
высшего профессионального
образования
РОССИЙСКИЙ
ГОСУДАРСТВЕННЫЙ ТОГОВО-ЭКОНОМИЧЕСКИЙ УНИВЕРСИТЕТ
Волгоградский филиал
Кафедра высшей математики
и информатики
Контрольная работа
по дисциплине:
Информационные технологии в торговле
Исполнитель:
студент 4 курса заочной формы обучения
факультета:
«Экономика и управление на предприятии (торговли)»
Каплунова
Ольга Александровна
Рецензент:
Дмитриева Ирина Сергеевна
Волгоград 2008г.
СОДЕРЖАНИЕ
Задача
№1 Производственная задача
№3
Задача
№2 Оптимальная организация рекламной компании №7
Задача
№3 Транспортная задача
№8
Задача
№4 Задача об оптимальном назначении№8
Задача №1
Производственная задача
Постановка
задачи.
При
производстве трех видов продукции используют два типа сырья. Составить план
выпуска продукции, обеспечивающий максимум прибыли. Исходные данные таковы:
Таблица
1.1
| Запас сырья |
Расход сырья на единицу
продукции |
| №1 |
№2 |
№3 |
| 40 |
4 |
5 |
1 |
| 24 |
2 |
1 |
3 |
| Прибыль в у.е. |
80 |
60 |
70 |
Экономико-математическая
модель.
Обозначим за
(i =1….3) объем производства соответствующей
продукции.
С учетом
значений задачи получаем.
4х1 + 5х2
+ 1х3 ≤ 40
2х1 +
1х2 + 3х3 ≤ 24
Дополнительные
ограничения:

,
,
.
Необходимо
найти оптимальный план выпуска продукций (т.е.
), который обеспечит максимальную выручку.
Исходя из
условий задачи целевая функция принимает вид:

Табличная
модель.

Рис. 1.1. Табличное
представление модели
Более
наглядно заполнение ячеек табличной формы задачи представлено на рисунке 1.2.

Рис. 1.2. Табличная
модель с представленными формулами
Оптимизация. Сервис
Поиск решений.

Рис. 1.3. Диалоговое окно
надстройки Поиск решения

Рис. 1.4. Решение
производственной задачи
Вывод: Оптимальный план производства,
при данных условиях, состоит в том, что продукцию 1-ого и 3-ого видов
необходимо производить в объеме 9 и 2
ед. соответственно, а продукции 2-ого вида не выпускать в производство. При
этом обеспечивается максимальная выручка в размере 860 д.е.
Задача №2
Оптимальная организация рекламной компании
Постановка
задачи.
На рекламу
выделено 80000 руб. Предприятие рекламирует свою деятельность, используя четыре
источника массовой информации: Интернет, телевидение, радио, газеты. Анализ
рекламной деятельности в прошлом показал, что вложенные в рекламу средства
приводят к увеличению прибыли на 16, 14, 9, 8 руб соответственно, в расчете на
1 руб, затраченный на рекламу. Руководство намерено потратить половину суммы на
рекламу на телевидении, не менее 20% выделенной суммы - на радио, не более 25%
- на газеты. Определить оптимальное распределение средств, направляемых на
рекламу.
Экономико-математическая
модель.
– средства, направленные
на Интернет;
– средства, направленные
на телевидение;
– средства, направленные
на радио;
– средства, направленные
на газеты.
Целевая
функция: 
Ограничения:
х1 + х2 + х3 +
х4 = 80000,
х2 ≤
0,5 * 80000,
х3 ≥
0,2 * 80000
х4 ≤
0,25 * 80000
х1 ≥
0, х2 ≥ 0, х3 ≥ 0, х4 ≥ 0.
Табличная
модель.

Рис. 2.1 Табличное
представление модели

Рис. 2.2 Табличная модель
с представленными формулами
Оптимизация. Сервис
Поиск решения.

Рис. 2.3 Диалоговое окно
надстройки Поиск решения

Рис. 2.4 Решение задачи
об оптимальной организации рекламной компании
Вывод: Для получения
максимальной прибыли, предприятие, проводя рекламную компанию, должно вложить
24000 руб. на рекламу – в Интернете, 40000 руб. в рекламу на телевидении, 16000
р. – в рекламу на радио, и не вкладывать средства на рекламу в газетах. При
этом максимальная прибыль составит 1088000 руб.
Задача №3
Транспортная задача
Постановка
задачи.
Фирма по
доставке букетов цветов имеет шесть постоянных клиентов. Цветы поставляются из
четырех киосков, где ежедневный запас составляет: 10, 20, 10, 30 букетов
соответственно. Фирма получила заказ от постоянных клиентов: А, В, D, E, F по 10 букетов, C – 20 букетов. Удельные
затраты на поставку букетов от каждого киоска каждому клиенту представлены в
таблице. Определить объем поставки из каждого киоска каждому клиенту так, чтобы
минимизировать суммарные затраты.
| Киоск |
Клиенты |
|
А
|
В
|
С
|
D
|
E
|
F
|
| 1 |
2 |
10 |
8 |
4 |
7 |
6 |
| 2 |
3 |
6 |
3 |
9 |
3 |
5 |
| 3 |
5 |
3 |
3 |
5 |
6 |
4 |
| 4 |
4 |
7 |
2 |
2 |
1 |
8 |
Экономико-математическая
модель.
Искомый объем
перевозки от i-ого поставщика к j-ому потребителю обозначим через
. Тогда определяются ограничения для
условия реализации всех мощностей:

Ограничения
для удовлетворения спросов всех потребителей:
х11 + х21
+ х31 + х41 = 10
х12 +
х22 + х3 2+ х42 = 10
х13 +
х23+ х33 + х43 = 20
х14 +
х24 + х34 +х44 = 10
х15 +
х25 + х35 + х45 = 10
х16 +
х26 +х36 + х16 = 10
Суммарные
затраты на перевозку выражаются через коэффициенты затрат и поставки и
определяют целевую функцию.

Табличная
модель.

Рис. 3.1.Табличное
представление модели

Рис. 3.2. Табличная
модель с представленными формулами
Оптимизация. Сервис
Поиск решения.

Рис. 3.3. Диалоговое окно
надстройки Поиск решения

Рис. 3.4. Решение
транспортной задачи
Вывод: Минимальные суммарные
затраты на доставку букетов цветов в размере 180 д.е. достигаются путем
распределения поставок, представленных в ячейках [B4:G4]и[B6:G6] . Так, например, киоск
2 должен доставить клиенту C 10 ед. букетов и клиенту F 10ед. букетов. К
клиентам A,
В, D, E ехать не надо. А
киоск 4 должен доставить клиентам C, D, E, по 10 ед. букетов. А к клиентам A, B, F ехать не надо.
Задача №4 Задача об оптимальном назначении
Постановка
задачи.
На
упаковочной поточной линии работают четыре сотрудника. Операции упаковки
последовательны. Время работы (в мин.) каждого сотрудника на каждой операции
представлено в таблице. Необходимо наладить процесс упаковки так, чтобы
сократить общее время упаковки (повысить производительность).
| Операции |
Сотрудники |
| А |
В |
С |
D |
| 1 |
9 |
8 |
8,5 |
7 |
| 2 |
8 |
8,8 |
8 |
8 |
| 3 |
8,5 |
7,5 |
7 |
7,4 |
| 4 |
8,8 |
8 |
7 |
7 |
Экономико-математическая
модель. Данная задача является типичной моделью линейного целочисленного
программирования (Ц.Л.П.), так как включает в себя двойственные ограничения на
переменные (1- сотрудник назначается на должность, 0- сотрудник не назначается
на должность).
– сотрудник A назначается на должность
№ 1;
– сотрудник A назначается на должность
№ 2;
х13
- сотрудник A
назначается на должность № 3;
– сотрудник A назначается на должность
№ 4;
– сотрудник B назначается на должность
№ 1;
– сотрудник B назначается на должность
№ 2;
х23
- сотрудник B
назначается на должность № 3;
– сотрудник B назначается на должность
№ 4;
– сотрудник C назначается на должность
№ 1;
– сотрудник C назначается на должность
№ 2;
х33
- сотрудник C
назначается на должность № 3;
– сотрудник C назначается на должность
№ 4;
х 41–
сотрудник D
назначается на должность № 1;
– сотрудник D назначается на должность
№ 2;
х43
- сотрудник D
назначается на должность № 3;
– сотрудник D назначается на должность
№ 4;
Имеем матрицу
переменных:
х11 х12 х13 х14
х21
х22 х23 х24
х31
х32 х33 х34
х41
х42 х43 х44
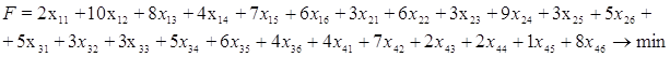
Целевая
функция выражает суммарную производительность и имеет вид:

Ограничения:
Матрица
переменных принимает двоичное значение:
1-
сотрудник
назначается на должность;
0- сотрудник
не назначается на должность.
Табличная
модель.

Рис. 4.1. Табличное
представление модели

Рис. 4.2. Табличная
модель с представленными формулами
Оптимизация. Сервис
Поиск решения.

Рис. 4.3Диалоговое окно
надстройки Поиск решения

Рис. 4.4. Решение задачи
об оптимальном назначении
Вывод: С учетом
производительности труда всех работников по каждой операции, менеджеру
необходимо назначить: сотрудника A на должность № 4, сотрудника B на должность №1, сотрудника
C на должность №2, сотрудника
D на должность №3,. При
этом коллектив добьется общей времени упаковки 29,50 мин.