Курсовая работа: Непрямі податки підприємства
Курсовая работа: Непрямі податки підприємства
Міністерство освіти і науки України
Національний університет кораблебудування
імені адмірала Макарова
кафедра фінансів
Курсова робота
на тему:
«Непрямі податки підприємства»
Виконала:
студентка гр. №3418
Шевцова Катерина
Перевірила:
Селікова Т.В.
Миколаїв, 2007
Зміст
Вступ
Розділ 1.Теоретичні основи непрямого
оподаткування підриємств.
1.1.
Податок «мито» та
особливості його сплати
1.2.
Сплата акцизного збору
1.3.
Податок на додану вартість
Розділ 2.Аналіз фінансової діяльності ВАТ
«Альфа»
2.1.Загальна характеристика та
характеристика діяльності підприємства у 2003 році
2.2 Загальна оцінка фінансового
стану та платоспроможності підприємства за 2003 рік
2.3 Вплив ПДВ
Розділ 3.Напрями удосконалення фінансового
стану ВАТ «Альфа»
Висновок
Використана література
Додатки
Розділ
1.Теоретичні основи непрямого оподаткування підриємств.
1.1 Податок «мито» та особливості його сплати
Мито є непрямим
податком, що стягується з товарів і транспортних засобів, які переміщуються
через митний кордон країни. Це переміщення може бути зв'язане з увезенням,
вивезенням або перевезенням транзитом товарів чи транспортних засобів. Цей податок
виконує фіскальну і регулюючу функції. Регулююча функція спрямована на
формування раціональної структури імпорту та експорту, захист національного
виробника (мито на імпорт), заохочення або обмеження експорту (мито на
експорт). Міжнародна практика свідчить, що найбільш поширеним є мито на імпорт.
Платниками мита є
фізичні та юридичні особи. Сплата податку здійснюється під час перетину
митного кордону. У кінцевому підсумку реальними платниками мита на імпорт
(ввізне мито) є споживачі товарів, що імпортуються. Однак під час перетину
митного кордону мито сплачує суб'єкт господарювання за рахунок своїх оборотних
коштів, що, зрозуміло, впливає на його фінансовий стан. На період від сплати
ввізного мита до реалізації споживачам товарів, що імпортуються, відбувається
відволікання (іммобілізація) оборотних коштів імпортерів.
На фінансову
діяльність імпортерів — суб 'єктів господарювання будуть справляти вплив:
визначення об 'єкта оподаткування, розмір ставок податку, податкові пільги,
терміни сплати ввізного мита.
Об'єктом
оподаткування є митна вартість товару, що переміщується через митний кордон.
Для визначення митної вартості товару, що імпортується, вартість товару у
валюті, яка визначена укладеним контрактом, перераховується в національну
валюту України за курсом Національного банку надень подання митної декларації.
Користуються двома
видами ставок для обчислення суми мита:
— у відсотках до
митної вартості товарів, що переміщуються через митний кордон;
— у грошовому вимірі
на одиницю товару.
На підакцизні товари
встановлено ставки специфічного ввізного мита. Для більшості видів підакцизних
товарів ставку ввізного мита встановлено в ЕКЮ (ЄВРО) з одиниці товарів, що
імпортуються. Ставки ввізного мита диференційовані за товарними групами, як і
ставки акцизного збору. Перелік товарів, що підлягають митному оподаткуванню,
значно ширший, ніж перелік підакцизних товарів.
Стосовно стягнення
мита діє розгалужена система пільг — від встановлення мінімальних пільгових
ставок залежно від країни-постачальника (на імпортні товари) або
країни-покупця (на експортні товари) аж до повного звільнення від мита окремих
товарів.
Контроль за
стягненням мита здійснюють митні органи. За виконання ними своїх обов'язків і
надання платникам відповідних послуг стягуються митні збори. Вони теж можуть
бути встановлені у відсотках від митної вартості товарів, однак їх не слід
ототожнювати з митним податком.
1.2Сплата
акцизного збору
Акцизний збір є одним
з найстаріших податків чинної податкової системи України. Термін
"акциз" походить від латинського слова "accidere"
– обрізати, накладати, встановлювати.
Акцизний збір
відноситься до непрямих податків і виступає податком на споживання. Велика
увага, яка приділяється розвитку та використанню механізму акцизу, пов’язана із
зручністю його для держави та певною непомітністю для споживачів. В цих умовах
саме акциз виступає основним різновидом непрямих податків, при якому об’єктом
оподаткування є вартість товарів, які мають специфічну особливість (тютюнові
вироби, алкогольні напої тощо). В більшості країн саме тому формувалися акцизні
групи, куди держава включала специфічні різновиди товарів або товарів, які
пов’язані із споживанням заможними верствами населення.
Платник акцизного
збору визначається статтею 2 Декрету Кабінету Міністрів України "Про
акцизний збір". Ця стаття передбачає аналіз декількох категорій платників
акцизного збору.
І. Перша категорія
пов’язана із визначенням платників акцизного збору, які виробляють на території
України товари, що відносяться законодавцем до підакцизних. Ця група платників
включає до себе досить широкий спектр осіб, але, мабуть, в цьому випадку мова і
йдеться саме про акцизний податок.
При цьому платників,
які відносяться до цієї категорії, необхідно розподілити ще на дві підгрупи:
1) Першу підгрупу
будуть складати суб’єкти підприємницької діяльності, їх філії, відділення та
інші відокремлювані підрозділи - виробники підакцизних товарів та послуг на
митній території України. Сюди ж треба віднести подібних виробників, що
виробляють підакцизні товари та послуги із давальницької сировини.
2) Друга підгрупа
платників, яка входить до першої категорії, включає до себе нерезидентів
України, що здійснюють виготовлення підакцизних товарів на митній території
України. Така диференціація першої категорії платників податків, на наш погляд,
вкрай необхідна, тому що розмежування між цими підгрупами виробників
підакцизних товарів базується на неоднакових податкових режимах. Якщо перша
підгрупа платників діє на території Україні відповідно до загального
податкового навантаження, до загальних та вичерпних норм національного
податкового законодавства, то податковий режим другої підгрупи виробників
підакцизних товарів та послуг деталізується статусом їх як нерезидентів і,
відповідно до цього, цілою низкою міжнародних угод щодо оподаткування.
ІІ. Друга категорія
платників акцизного збору охоплює осіб, що імпортують на митну територію
України підакцизні товари.
Розвиток українського
законодавства призвів до більш зручного підходу при закріпленні об’єкта
оподаткування в ст.3 Декрету Кабінету Міністрів України "Про акцизний
збір". В цьому законодавчому акті зроблена спроба встановити зв’язок між
статтею, що закріплює категорію платників акцизного збору, та об’єктів
оподаткування і, відповідно до цього, виділено 3 різновиди об’єкта
оподаткування акцизним збором
Треба підкреслити, що
при визначенні об’єкта оподаткування у випадку використання в якості
давальницької сировини підакцизних товарів, за які вже було виплачено акцизний
збір, сума акцизного збору, яка підлягає сплаті за готові товари, зменшується
на суму раніше виплаченого акцизного збору. Здійснюється це тому, що при
реалізації підакцизних товарів і продукції, виготовлених із давальницької
сировини, вартість їх визначається ринковими цінами, що склалися на такі або
аналогічні товари і продукцію в даному регіоні за звітний період.
При цьому
оподатковуваний оборот, який і виступає, фактично, об’єктом, нараховується,
виходячи з рівня фіксованих і регульованих цін або усереднених вільних цін і
тарифів по підприємствам. Вони, в цьому випадку, включають фактичну собівартість
і прибуток на подібні товари. Стосується це обміну на території України
підакцизних товарів власного виробництва, при їх передачі безкоштовно або з
частковою оплатою, а також реалізації на умовах комісії (консигнації).
При характеристиці
об’єкта оподаткування, деталізації обороту від реалізації підакцизних товарів,
на наш погляд, необхідно розмежувати 2 групи товарів, які передбачають різні
правові наслідки щодо виконання податкового обов’язку:
товари, що підлягають
позначенню марками акцизного збору;
товари, що не
підлягають позначенню марками акцизного збору.
Акцизний збір є одним
з непрямих податків, оскільки він включається в ціни товарів і сплачується в
кінцевому рахунку покупцем, а не виробником товарів. Його відносять до
категорії специфічних акцизів, тобто стягнення податку провадиться за диференційованими
за окремими групами товарів ставками.
Акцизний збір був
уведений на Україні в 1992 р. Його запровадження переслідувало мету збільшити
доходи бюджету за рахунок оподаткування високорентабельних товарів непершої
необхідності, які споживаються здебільшого населенням з рівнем доходів вище
середнього.
Платниками акцизного
збору є всі суб’єкти підприємницької діяльності, які виробляють або імпортують
підакцизні товари, а також фізичні особи, котрі ввозять (пересилають)
підакцизні речі на митну територію України. Розглянемо порядок визначення
платників більш детально.
Платниками акцизного
збору відповідно до чинного законодавства в Україні є:
а) суб’єкти
підприємницької діяльності, а також їхні відокремлені підрозділи — виробники
підакцизних товарів на митній території України, у тому числі з давальницької
сировини;
б) нерезиденти, які
здійснюють виготовлення підакцизних товарів на митній території України
безпосередньо або через їхні постійні представництва;
в) будь-які суб’єкти
підприємницької діяльності та юридичні особи, що не є суб’єктами
підприємницької діяльності, котрі імпортують на митну територію України
підакцизні товари;
г) фізичні особи —
резиденти або нерезиденти, які ввозять підакцизні речі або предмети на митну
територію України, а також фізичні особи, котрі одержують такі підакцизні речі
(предмети), переслані з-за митного кордону України у вигляді поштових
відправлень чи несупроводжувального багажу, в обсягах або вартістю, що перевищують
норми безмитного провезення.
Об’єктом
оподаткування акцизним збором є:
а) обороти з
реалізації вироблених в Україні підакцизних товарів, у тому числі з
давальницької сировини, способом їх:
продажу;
бартерного обміну;
безплатної передачі
товарів або з частковою їх оплатою;
передачі для власного
споживання та для своїх працівників;
промислової переробки
(крім оборотів з передачі для виробництва підакцизних товарів);
б) товари, які
імпортуються на митну територію України, у тому числі:
у межах бартерних
операцій;
без оплати їхньої
вартості чи з частковою оплатою.
Перелік підакцизних
товарів, як правило, включає в себе предмети непершої необхідності та
високорентабельні товари, споживання яких держава намагається обмежити. Так, в
Україні до них належать: алкогольні й тютюнові вироби, транспортні засоби,
нафтопродукти.
Існують два види
ставок за акцизним збором (АЗ): тверді (у фіксованому виразі на одиницю товарів
у кількісному виразі, наприклад, в євро за 1тис. кг за бензином, у гривнях — за
алкогольними і тютюновими виробами) та процентні.
Відповідно до
існування різних видів ставок за АЗ є і два неоднакових порядки визначення суми
акцизного збору.
Для обчислення
акцизного збору за товарами, ставки яких встановлено у відсотках, необхідно
виявити базу оподаткування. Для вітчизняних товарів база оподаткування
обчислюється, виходячи з їхньої вартості, за встановленими виробником
максимальними роздрібними цінами на товари, які він виробляє, без податку на
додану вартість та акцизного збору. У разі імпорту підакцизних товарів база
оподаткування визначається, виходячи з їхньої вартості, за встановленими
імпортером максимальними роздрібними цінами на товари, котрі він імпортує, без
податку на додану вартість і акцизного збору (але не менше митної вартості таких
товарів з урахуванням сум увізного мита без податку на додану вартість та
акцизного збору).
Сума акцизного збору,
якщо ставка встановлена у відсотках, обчислюється для вітчизняних товарів за
формулою
А = С × О : 100,
де А — сума акцизного
збору; С — ставка акцизного збору;
О — обсяг реалізації за максимальними роздрібними цінами, що не включає АЗ і
ПДВ.
Для імпортних товарів
дана величина розраховується за наведеною вище формулою для вітчизняних
товарів, якщо встановлені максимальні роздрібні ціни вище митної вартості з
урахуванням суми мита. Коли ж дані ціни нижче митної вартості з урахуванням
суми мита, застосовується така формула:
А = С × (МВ + М) : 100,
де А — сума акцизного
збору; С — ставка акцизного збору; МВ — митна вартість товару; М — сума
мита.
Установлення
максимальних роздрібних цін на підакцизні товари здійснюється виробниками або
імпортерами цих товарів через декларування таких цін у центральному органі
Державної податкової служби України або центральному органі Державної митної
служби України. Декларація повинна бути подана виробником чи імпортером
підакцизних товарів відповідно до центрального органу Державної податкової
служби України або центрального органу Державної митної служби України не
пізніше ніж за п’ять календарних днів до моменту запровадження встановлених у
декларації максимальних роздрібних цін.
Сума АЗ, підрахована
за процентною ставкою не може бути меншою за 1/3 суми АЗ на відповідний товар,
обчисленою за твердими ставками.
У суб’єкта
підприємницької діяльності, що здійснює роздрібну торгівлю підакцизними
товарами, на які встановлено ставки акцизного збору у відсотках до обороту, у
місці торгівлі такими товарами на видноті повинні бути розміщені засвідчені
виробником або імпортером копії чинних декларацій про максимальні роздрібні
ціни на підакцизні товари, що були подані їх виробником або імпортером до
центрального органу Державної податкової служби України або центрального органу
Державної митної служби України.
Акцизний збір з
товарів, ставки за якими визначені у фіксованих сумах (в євро, або в гривнях),
обчислюється, виходячи з натуральних показників відповідного товару в
кількісному виразі.
У разі застосування
ставки акцизного збору в гривнях сума податку обчислюється за формулою
А = С × К,
де А — сума акцизного
збору; С — ставка акцизного збору;
К — кількість товару, визначена у фізичних одиницях виміру, встановлених
відповідним законом.
У разі застосування
ставки акцизного збору в євро сума податку обчислюється за формулою
А = С × Є × К,
де А — сума акцизного
збору; С — ставка акцизного збору;
Є — курс гривні до євро; К — кількість товару, визначена у фізичних одиницях
виміру, встановлених відповідним законом.
При цьому за
вітчизняними товарами для визначення акцизного збору сума в євро
перераховується у валюту України за курсом Національного банку України на
перший день кварталу, який залишається незмінним протягом кварталу, а за
товарами, що ввозяться в Україну, — на день митного оформлення товарів.
1.3Податок на додану вартість
Одним з основних
джерел формування Державного бюджету України є податок на додану вартість. На
частку ПДВ у доходах Державного бюджету припадає близько 35 %.
Податок на додану
вартість — один з основних непрямих податків в Україні. Сутність ПДВ полягає в
тому, що він є частиною новоствореної вартості, яка стягується з покупців у
вигляді цін на товари і послуги, що продаються (надаються) на кожному етапі їх
виробництва і продажу.
Податок на додану
вартість — це податок, що стягується з покупців у вигляді надбавки до ціни на
товари, роботи, послуги, які їм продаються, а сплачується в бюджет продавцями
цих товарів, робіт та послуг.
Відповідно до законів
України платниками ПДВ є всі юридичні та фізичні особи, які здійснюють від
свого імені виробничу чи іншу підприємницьку діяльність на території України,
незалежно від форм власності та господарювання.
До платників ПДВ
належать:
• особи, якщо обсяг
виконуваних ними операцій, що підлягають оподаткуванню з продажу товарів
(робіт, послуг) протягом будь-якого періоду за останні 12 календарних місяців,
перевищує 3600* неоподатковуваних мінімумів доходів громадян;
• особи, які ввозять
(пересилають) товари на митну територію України або отримують від нерезидента
роботи (послуги) для їх використання чи споживання на митній території України,
за винятком фізичних осіб, що не зареєстровані як платники податку, у випадках,
коли такі особи ввозять (пересилають) товари (предмети) в обсягах, що не
оподатковуються згідно із законодавством;
• особи, які
здійснюють на митній території України підприємницьку торговельну діяльність за
готівку незалежно від обсягів продажу, за винятком фізичних осіб, що здійснюють
торгівлю на умовах сплати ринкового збору в порядку, встановленому
законодавством;
• особи, які на
митній території України надають послуги, пов'язані з транзитом пасажирів або
вантажів через митну територію України;
• особи, які несуть
відповідальність за внесення податку в бюджет за об'єктами оподаткування на
залізничному транспорті, що визначені в порядку, встановленому Кабінетом
Міністрів України;
• особи, які надають
послуги зв'язку і здійснюють консолідований облік доходів і витрат, пов'язаних
з наданням згаданих послуг і отриманих іншими особами, які підпорядковані таким
особам.
Об'єктом
оподаткування при нарахуванні ПДВ є обороти з продажу продукції, товарів,
виконання робіт і надання послуг. При цьому при продажу товарів об'єктом
оподаткування є обороти не лише з продажу товарів власного виробництва, а й
купованих. При продажу робіт об'єктом оподаткування є вартість виконаних
будівельно-монтажних, ремонтних, науково-дослідних та інших робіт, у тому числі
робіт, виконаних господарським способом. При продажу послуг об'єктом
оподаткування є вартість послуг, наданих автотранспортом,
вантажно-розвантажувальних, зв'язку, побутових, рекламних та ін. Крім того, до
складу об'єктів оподаткування ПДВ належать такі обороти:
• з продажу товарів
(робіт, послуг) без сплати їх вартості в межах підприємства для потреб власного
споживання, витрати на які не відносяться на собівартість виробництва, а також
для своїх працівників;
• з передачі товарів
(робіт, послуг) без сплати їх вартості в обмін на інші товари (роботи,
послуги);
• з передачі
безоплатно або з частковою оплатою товарів (робіт, послуг) іншим підприємствам
чи громадянам;
• з реалізації
предметів застави, ураховуючи їх передачу заставоутримувачу при невиконанні
зобов'язання, забезпеченого заставою.
Згідно із Законом
України "Про податок на додану вартість" об'єктом оподаткування є
такі операції платника:
• продаж товарів
(робіт, послуг) на митній території України, у тому числі операції, пов'язані з
оплатою вартості послуг за угодами оперативної оренди (лізингом) і передаванням
права власності на об'єкти застави позичальнику (кредитору) для погашення
кредиторської заборгованості заставодавця;
• ввезення
(пересилання) товарів на митну територію України та отримання робіт (послуг),
що надаються нерезидентами для їх використання або споживання на митній
території України, у тому числі операції, пов'язані з ввезенням (пересиланням)
майна за угодами оренди (лізингу), застави та іпотеки;
• вивезення
(пересилання) товарів за межі митної території України та надання послуг
(виконання робіт) для їх споживання за межами митної території України.
Водночас до об'єктів
оподаткування не належать такі операції:
• випуск, розміщення
та продаж за грошові кошти цінних паперів, емітованих (випущених в обіг)
суб'єктами підприємницької діяльності, Національним банком України,
Міністерством фінансів України, органами місцевого самоврядування, у тому числі
приватизаційні, компенсаційні папери (сертифікати), інвестиційні сертифікати та
ін.;
• сплата орендних
(лізингових) платежів за умовами угод фінансової оренди (лізингу) або оренди
житлового фонду, що є основним місцем проживання орендаря;
• передавання майна в
заставу позикодавцю (кредитору) згідно з договором позики та його повернення
заставодавцю після завершення дії договору;
• надання послуг із страхування
і перестрахування, передбачених Законом України "Про страхування",
соціального і пенсійного страхування;
• випуск, обіг і
погашення державних лотерейних білетів, випущених в обіг з дозволу Міністерства
фінансів та Міністерства з питань європейської інтеграції України; виплати
грошових виграшів, призів і винагород; продаж непогашених поштових марок
України, конвертів і листівок з непогашеними поштовими марками України, крім
колекційних марок, листівок і конвертів для філателістичних потреб;
• надання послуг з
інкасації, розрахунково-касового обслуговування, залучення, розміщення і
повернення грошових коштів згідно з угодами позики, депозиту, вкладу,
страхування або доручення; надання, управління і перевідступлення фінансових
кредитів, кредитних гарантій і банківських поручництв особою, що надала такі
кредити, гарантії або поручництва;
• торгівля за грошові
кошти або цінні папери борговими зобов'язаннями, за винятком операцій з
інкасації боргових вимог та факторингу (факторингові операції);
• оплата вартості
державних платних послуг, які надаються фізичним або юридичним особам органами
виконавчої влади і місцевого самоврядування, обов'язковість отримання (надання)
яких встановлюється законодавством, у тому числі плата за реєстрацію, отримання
ліцензії (дозволу), сертифікатів у вигляді зборів, державного мита;
• виплати заробітної
плати, пенсій, стипендій, субсидій, дотацій, інші грошові або майнові виплати
фізичним особам за рахунок бюджетів або соціальних чи страхових фондів у
порядку, встановленому законом; виплати дивідендів у грошовій формі або у формі
цінних паперів (корпоративних прав), надання брокерських, дилерських послуг з
торгівлі або управління цінними паперами та деривативами на фондових і товарних
біржах, створених у порядку, передбаченому законами України "Про цінні
папери і фондову біржу" та "Про товарну біржу";
• передавання
основних фондів як внеску до статутного фонду юридичних осіб для формування їх
цілісного майнового комплексу в обмін на їх корпоративні права;
• оплата вартості фундаментальних
досліджень, науково-дослідних і дослідно-конструкторських робіт, які
здійснюються за рахунок Державного бюджету України;
• безоплатне
передавання об'єктів з балансу платників податків усіх форм власності на баланс
іншої юридичної особи, яка перебуває в державній або комунальній власності, що
здійснюється згідно з рішенням органу державної влади або місцевого
самоуправління, якому підпорядкований такий платник податків або така юридична
особа.
Розрахунок бази
оподаткування здійснюється за операціями з продажу товарів, виконання робіт,
надання послуг.
При продажу товарів
(робіт, послуг) база оподаткування визначається виходячи з їх договірної
(контрактної) вартості, визначеної за вільними (регульованими) цінами
(тарифами) з урахуванням акцизного збору, ввізного мита, інших
загальнодержавних податків і зборів (обов'язкових платежів), за винятком ПДВ,
що входить у ціну товарів (робіт, послуг) згідно із законодавством України з
питань оподаткування.
У разі продажу
товарів (робіт, послуг) без оплати або з частковою оплатою їх вартості коштами
в межах бартерних (товарообмінних) операцій, натуральних виплат у рахунок
оплати праці фізичним особам, що перебувають у трудових відносинах з платником
податку, передавання товарів (робіт, послуг) для невиробничого використання в
межах балансу платника податку, витрати, які не належать до валових витрат
виробництва (обігу) і не підлягають амортизації, база оподаткування
визначається виходячи з фактичної ціни операції, але не нижчої за звичайні
ціни.
Для товарів, які
ввозяться (пересилаються) на митну територію України платниками податку, базою
оподаткування є договірна (контрактна) їх вартість, але не нижча від митної
вартості, зазначеної у ввізній митній декларації, з урахуванням витрат на
транспортування, завантаження, розвантаження та страхування до пункту перетину
митного кордону України, сплати брокерських, агентських, комісійних та інших
видів винагород, пов'язаних з ввезенням (пересиланням) таких товарів, акцизних
зборів, ввізного мита, а також інших податків, зборів (обов'язкових платежів),
за винятком ПДВ, які входять у ціну товарів (робіт, послуг), згідно з
законодавством України з питань оподаткування. Визначена вартість
перераховується у гривні за валютним (обмінним) курсом Національного банку
України, що діяв на момент виникнення податкових зобов'язань.
Для готової
продукції, виготовленої на території України з давальницької сировини
нерезидента, у разі її продажу на митній території України базою оподаткування
є договірна (контрактна) її вартість з урахуванням акцизного збору, ввізного
мита, а також інших загальнодержавних податків, зборів (обов'язкових платежів),
за винятком ПДВ, що включаються в ціну такої продукції згідно із законодавством
України з питань оподаткування. Визначена вартість перераховується у гривні за
валютним (обмінним) курсом
Національного банку
України, що діяв на момент виникнення податкових зобов'язань.
При цьому база
оподаткування визначається прямим методом за формулою
БО = (С + П) + МЗ +
АЗ + ІП,
де С — собівартість,
грн; П — прибуток, грн; МЗ — митні збори, грн; A3 — акцизний збір, грн; ІП —
інші податки, що включаються в ціну, грн.
При продажу ввезених
(придбаних) товарів база оподаткування обчислюється за формулою
БО = ( MB + ТВ + СВ + IB) + МЗ + A3 + ІП, (4.2)
де MB — митна вартість, грн; ТВ — транспортні витрати, грн; СВ — витрати зі
страхування до пункту перетину митного кордону України, грн; IB — інші витрати (брокерські, агентські, комісійні), грн. Від
оподаткування ПДВ звільняються такі операції:
• продаж вітчизняних
продуктів дитячого харчування молочними кухнями та спеціалізованими магазинами
і куточками, які виконують функції роздавальних пунктів, у порядку і за
переліком продуктів, встановленими Кабінетом Міністрів України;
• продаж (передплата)
і доставка періодичних видань друкованих вітчизняних засобів масової
інформації; продаж учнівських зошитів, підручників і навчальних посібників
вітчизняного виробництва;
• надання згідно з
переліком, встановленим Кабінетом Міністрів України, послуг з отримання вищої,
середньої, професійно-технічної і початкової освіти закладами освіти, що мають
спеціальний дозвіл (ліцензію) на надання таких послуг, і послуг з виховання й
освіти дітей у будинках культури в сільській місцевості, дитячих музичних і
художніх школах, школах мистецтв;
• продаж товарів
спеціального призначення для інвалідів за переліком, встановленим Кабінетом
Міністрів України;
• надання послуг з
доставки пенсій і грошових допомог населенню;
• надання послуг з
реєстрації актів громадянського стану державними органами, уповноваженими
здійснювати таку реєстрацію згідно із законодавством;
• продаж лікарських
засобів і виробів медичного призначення, що зареєстровані в Україні у
встановленому законодавством порядку, у тому числі надання таких послуг
аптечними установами;
• надання послуг з
охорони здоров'я згідно з переліком, встановленим Кабінетом Міністрів України,
закладами охорони здоров'я, які мають спеціальний дозвіл (ліцензію) на надання
таких послуг;
• продаж путівок на
санаторно-курортне лікування і відпочинок дітей у закладах за переліком,
встановленим Кабінетом Міністрів України. (Зазначена пільга не поширюється на
продаж путівок нерезидентам);
• надання в порядку
та в межах норм, встановлених Кабінетом Міністрів України, таких послуг:
- з утримання дітей у
дошкільних закладах, школах-інтернатах, кімнатах-розподільниках установ
Міністерства внутрішніх справ України;
- з утримання осіб у
притулках для старих та інвалідів, харчування та облаштування на нічліг осіб,
які не мають житла, у спеціально відведених для цього місцях;
- з харчування дітей
у школах, професійно-технічних училищах і громадян в установах охорони
здоров'я;
• надання послуг з
поховання будь-яким платникам податку за переліком Кабінету Міністрів України;
• продаж або
передавання у власність новозбудованого житла фізичним особам для його
використання як місця проживання;
• подання благодійної
допомоги — безоплатного передавання товарів (робіт, послуг) благодійним фондам
і організаціям з метою їх безпосереднього використання в благодійних цілях.
Не звільняються від
оподаткування операції з подання благодійної допомоги у вигляді товарів (робіт,
послуг), що оподатковуються акцизним збором, цінних паперів, нематеріальних
активів і товарів (робіт, послуг), призначених для використання в
підприємницькій діяльності, перелік яких визначається Кабінетом Міністрів
України;
• оплата вартості
фундаментальних досліджень, науково-дослідних та дослідно-конструкторських
робіт, які здійснюються за рахунок Державного бюджету України;
• безкоштовне
передавання продукції (робіт, послуг) власного виробництва допоміжними
сільськими господарствами і лікувально-виробничими трудовими майстернями
(цехами, дільницями) будинкам-інтернатам і територіальним центрам з
обслуговування самотніх громадян похилого віку (пенсіонерів) за умови, що таке
передавання здійснюється для забезпечення власних потреб зазначених закладів;
•надання в сільській
місцевості сільськогосподарськими товаровиробниками послуг з ремонту шкіл,
дошкільних закладів, інтернатів, закладів охорони здоров'я і матеріальної допомоги
(у межах одного неоподатковуваного мінімуму доходів громадян на місяць на одну
особу) продуктами харчування власного виробництва і послуг з обробки землі
багатодітним родинам, ветеранам праці й війни, реабілітованим громадянам,
інвалідам з дитинства, одиноким особам похилого віку, особам, що постраждали
внаслідок Чорнобильської катастрофи, школам, дошкільним закладам, інтернатам,
закладам охорони здоров'я;
• надання в сільській
місцевості сільськогосподарським товаровиробникам під час польових робіт послуг
із забезпечення харчуванням механізаторів і тваринників продуктами власного
виробництва в польових їдальнях та ін.;
• надання
бібліотеками, що перебувають у державній і комунальній власності, платних
послуг фізичним та юридичним особам;
• продаж та безкоштовне
передавання приладів, обладнання, матеріалів науковим установам та
організаціям, вищим навчальним закладам III IV рівнів акредитації, внесеним до Державного реєстру наукових
організацій, яким надається підтримка держави за умови використання їх
винятково для власних потреб, та ін.
Звільнення від
оподаткування ПДВ перелічених операцій не поширюється на операції з
підакцизними товарами.
До об'єктів
оподаткування ПДВ для його розрахунку застосовують дві ставки: нульову або 20
%.
Податок на додану вартість
нульовою ставкою обчислюється для таких операцій:
• продаж товарів, що
були вивезені (експортовані) платником податку за межі митної території
України, у тому числі операції з поставки для заправки або постачання морських
(океанських) і повітряних суден, що використовуються для навігаційної
діяльності, платних перевезень пасажирів чи вантажів та ін.;
• продаж робіт
(послуг), призначених для використання і споживання за межами митної території
України, у тому числі операції з надання нерезидентам в оренду морських чи
повітряних суден, які використовуються на міжнародних маршрутах або лініях;
• надання послуг з
передавання авторських прав, ліцензій, прав на використання торговельних марок
та інших юридичних і економічних знань, з організації реклами і публічних
зв'язків за межами України, культурної, спортивної, освітньої діяльності за
межами України, з туризму на території України, у разі їх продажу за межами
України безпосередньо або за посередництвом нерезидентів із застосуванням
безготівкових розрахунків (надання послуг з туризму резидентам на митній
території України безпосередньо особою, що здійснює туристичну діяльність, або
через її агентів, що не є резидентами, оподатковується податком за ставкою 20
%);
• продаж товарів
(робіт, послуг) підприємствами роздрібної торгівлі, розташованими на території
України в зонах митного контролю (безмитних магазинах), відповідно до порядку,
встановленого Кабінетом Міністрів України;
• продаж товарів
(робіт, послуг) власного виробництва, за винятком підакцизних товарів,
посередницької та рекламної діяльності, грального бізнесу, підприємствами,
заснованими Українським товариством глухих і майно яких є їх повною власністю,
іншим платникам податків. Зазначена норма поширюється тільки на підприємства,
де частка працюючих інвалідів за попередній звітний рік не менше 50 % загальної
кількості працюючих, а фонд їх оплати праці за той самий період не менше 40 %
загальних виплат на оплату праці, що включається до складу валових витрат;
• продаж
сільськогосподарськими підприємствами-товаровироб-никами всіх форм власності та
господарювання переробним підприємствам молока та м'яса за живою вагою та ін.
Не дозволяється
застосовувати нульову ставку податку до операцій з вивезення (експорту) товарів
(робіт і послуг), якщо такі операції звільнені від оподаткування на митній
території України.
У випадках, що
виключають застосування нульової ставки, для розрахунку ПДВ до бази
оподаткування застосовується ставка 20 % і роз-
рахована сума податку
включається в ціну товарів (робіт, послуг), що продаються.
У цьому разі ПДВ
розраховується за формулою

де 20 — ставка
податку.
Обчислений за
формулою (4.3) ПДВ додається до вільної (регульованої) ціни, у результаті чого
утворюється ціна продажу.
При продажу будь-якої
продукції (товарів, послуг) продавець — платник ПДВ обов'язково виписує
податкову накладну встановленої форми у двох примірниках із зазначенням в ній
назви продавця — платника податку, покупця, найменування, кількості й вартості
товару, що продається, послуг без ПДВ, суми ПДВ і загальної суми коштів, які
підлягають сплаті з урахуванням податку.
При звільненні від
оподаткування у випадках, визначених законом, у податковій накладній робиться
запис "Без ПДВ" з посиланням на відповідний підпункт Закону України
"Про податок на додану вартість".
Податкова накладна
складається в момент виникнення податкових зобов'язань продавця у двох
примірниках.
Оригінал податкової
накладної видається покупцеві, а копія залишається у продавця товарів
(виконавця робіт, надавача послуг).
Для операцій, що
оподатковуються і звільнені від оподаткування, складаються окремі податкові
накладні.
Податкова накладна є
звітним податковим і водночас розрахунковим документом.
Платники податку
повинні зберігати податкові накладні протягом строку, передбаченого
законодавством для зобов'язань зі сплати податків.
Право на нарахування
податку і складання податкових накладних надається виключно особам,
зареєстрованих як платники податку.
Для фізичних осіб, не
зареєстрованих як суб'єкти підприємницької діяльності, які ввозять
(пересилають) товари (речі) на митну територію України в обсягах, що підлягають
оподаткуванню згідно із законодавством України, оформлення митної декларації
прирівнюється до подання податкової накладної.
Податкова накладна
видається в разі продажу товарів (виконання робіт, надання послуг) покупцеві на
його вимогу. У будь-якому разі видається товарний чек, інший розрахунковий чи
платіжний документ, що підтверджує передавання товарів (робіт, послуг) та/або
прийняття платежу із зазначенням суми податку.
Податкова накладна не
виписується, якщо обсяг разового продажу товарів (робіт, послуг) не перевищує
20 грн, а також при продажу транспортних квитків та виписуванні готельних
рахунків. При цьому підставою для збільшення суми податкового кредиту є
товарний чек (інший платіжний або розрахунковий документ).
У разі ввезення
(імпортування) товарів документом, що засвідчує право на отримання податкового
кредиту, вважається відповідно оформлена митна декларація, яка підтверджує
сплату ПДВ.
Платники податку
повинні вести окремий облік з продажу та придбання щодо таких операцій:
• які підлягають
оподаткуванню за ставкою 20 % та звільнених від оподаткування;
• вартість яких не
включається у валові витрати виробництва (обігу) або не підлягає амортизації, у
тому числі операцій з ввезення (імпорту) та вивезенню (експорту).
Зазначений облік
ведеться у спеціальних книгах, форма і порядок заповнення яких встановлюються
центральним податковим органом України.
Загальна сума ПДВ, що
нарахована (одержана) платником податку і включена в ціну товару (робіт,
послуг), що продається в звітному (податковому) періоді, є податковим
зобов'язанням платника податку.
Датою виникнення
податкових зобов'язань з продажу товарів (робіт, послуг) вважається дата, що
припадає на податковий період, протягом якого раніше відбувається будь-яка з
подій:
• дата зарахування
коштів від покупця (замовника) на банківський рахунок платника податку як
оплата товарів (робіт, послуг), що підлягають продажу, у разі продажу товарів
(робіт, послуг) за готівку — дата їх оприбуткування в касі платника податку, а
в разі її відсутності — дата інкасації готівки в банківській установі, що
обслуговує платника податку;
• дата відвантаження
товарів, а для робіт (послуг) — дата оформлення документа, що засвідчує факт
виконання робіт (послуг) платником податку.
У разі продажу
товарів (валютних цінностей) чи послуг з використанням торговельних автоматів
або іншого подібного обладнання, що не передбачає наявності касового апарату,
який контролюється уповноваженою фізичною особою, датою виникнення податкового
зобов'язання вважається дата виймання з таких торговельних апаратів чи
подібного устаткування грошової виручки.
Датою виникнення
податкових зобов'язань при ввезенні (імпортуванні) товарів є дата оформлення
ввізної митної декларації із зазначенням у ній суми податку, що належить до
сплати. Датою виникнення податкових зобов'язань при імпортуванні робіт (послуг)
є дата списання коштів з поточного рахунка платника податку за оплату робіт
(послуг) або дата оформлення документа, що засвідчує факт виконання робіт
(послуг) нерезидентом залежно від того, яка з подій відбулася раніше.
Крім продажу
продукції, товарів, виконання робіт, надання послуг за відпускними цінами з
урахуванням ПДВ його платники купують товари, отримують послуги також з
урахуванням цього податку, що використовуються у виробництві і вартість яких
включається у валові витрати, а також купують основні фонди і нематеріальні
активи, що підлягають амортизації.
Суми ПДВ, що сплачені
(нараховані) платником податку у звітному періоді у зв'язку з оплатою товарів,
робіт, послуг, вартість яких входить у валові витрати виробництва і основні
фонди або нематеріальні активи, що підлягають амортизації, є податковим
кредитом. На суму податкового кредиту платник має право зменшити податкове
зобов'язання звітного періоду.
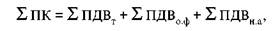
Загальну суму
податкового кредиту можна визначити за формулою

де X ПДВт, X ПДВ., X ПДВна—
сума ПДВ, що сплачена платником у звітному періоді, у складі вартості придбаних
відповідно товарів (робіт, послуг), основних фондів та нематеріальних активів,
грн.
Не дозволяється
включати в податковий кредит будь-які витрати зі сплати податку, які не мають
підтвердження податковими накладними чи митними деклараціями, а при імпорті
робіт (послуг) — актом приймання робіт (послуг) або банківським документом,
який засвідчує перерахування грошових коштів в оплату вартості таких робіт
(послуг).
Датою виникнення
права платника податку на податковий кредит вважається дата здійснення першої з
подій:
• дата списання
коштів з банківського рахунка платника подат-ку в оплату товарів (робіт,
послуг), дата виписки відповідного рахунка (товарного чека) при розрахунках з
використанням кредитних дебетових карток або комерційних чеків;
• дата отримання
податкової накладної, що засвідчує факт придбання платником податку товарів
(робіт, послуг).
Для операцій з
ввезення (пересилання) товарів (виконання робіт, надання послуг) датою сплати
податку є дата оформлення ввізної митної декларації, а для бартерних
(товарообмінних) операцій — дата здійснення заключної (балансуючої) операції,
що відбулася після першої з подій (дата відвантаження товару чи дата його
оприбуткування).
Суми податку, що
підлягають сплаті в бюджет чи відшкодуванню з бюджету, визначаються як різниця
між загальною сумою податкових зобов’язань, що виникли у зв’язку з будь-яким
продажем товарів (виконання робіт, надання послуг) протягом звітного пері-оду,
і сумою податкового кредиту за звітний період.
Розрахунок сум
податкового зобов’язання, податкового кредиту і суми податку, що підлягає
сплаті в бюджет чи поверненню з нього, платники здійснюють у податковій
декларації, яка складається з вступної частини та трьох розділів: податкові
зобов’язання; податковий кредит; розрахунки з бюджетом за звітний період.
Особи, які не
підпадають під визначення платників податку у зв’язку з обсягами
оподатковуваних операцій, що не перевищують 3600 неоподатковуваних мінімумів
доходів громадян протягом будь-якого періоду за останні 12 календарних місяців,
у тому числі особи, зареєстровані як платники податку за власним бажанням, а
також особи, зареєстровані як платники податку на підставі того, що здійснюють
торгівлю за готівку або зареєстровані як новостворені, до податкового періоду,
в якому ними досягається зазначений обсяг оподаткування операцій, подають
податкову декларацію з ПДВ за скороченою формою. Ця декларація подається до
першого звітного періоду, в якому платником податку досягнуто обсяг
оподаткування операцій у розмірі 3600 неоподатковуваних мінімумів доходів
громадян.
За правильність
розрахунку податку, своєчасне подання декларації до податкового органу та
сплати суми податку в бюджет відповідальність несуть його платники.
У разі недонарахування
ПДВ на його платників накладається фінансова санкція в розмірі 5 % нарахованої
суми податку. За такі самі порушення впродовж року після попередньої перевірки
фінансова санкція збільшується, але не повинна перевищувати 25 % нарахованої
суми.
За неподання чи
несвоєчасне подання до податкових органів податкової декларації, інших
необхідних для розрахунку податку документів з його платників додатково
стягується штраф у розмірі 10 неоподатковуваних мінімумів доходів громадян.
За несвоєчасну сплату
розрахованої суми ПДВ з його платників стягується пеня в розмірі 120 %
облікової ставки НБУ, що діяла на день перевірки, за кожний день прострочення з
суми недоплати.
Якщо платник податку
до початку його перевірки контролюючим органом самостійно виявляє факт
заниження податкового зобов'язання і погашає суму недоплаченого податку, то
штрафні санкції за це правопорушення до такого платника не застосовуються.
Розділ 2.Аналіз
фінансової діяльності ВАТ «Альфа»
2.1.Загальна
характеристика та характеристика діяльності підприємства у 2003 році
ВАТ “Альфа” засноване
в 1964 році як цех від іншого заводу. В 1965 році завод був підпорядкований
міністерству верстатобудування та інструментальної промисловості СРСР. З цього
часу завод налагодив масовий випуск різців токарних напаяних, збірних, фрез
кінцевих, наборів слюсарно – монтажних інструментів.
Акціонування
підприємства почалось в 1995 році. На 1 листопада 1996 року на аукціонах
продано 43% акцій. Статутний фонд становить 56442 гривень. Чисельність
робітників становить 245 чол.
Метою діяльності ВАТ
„Альфа“ є отримання прибутку за рахунок наукової, виробничої та підприємницької
діяльності.
Предметом діяльності
є :
виробництво слюсарно
– монтажних, металорізальних інструментів для машинобудівних підприємств,
підприємств різноманітних галузей народного господарства, майстерень ремонтного
профілю, сільськогосподарських підприємств, транспорту, а також власників
легкових автомобілів;
реалізація на основі
отриманого прибутку соціальних і економічних потреб працівників, створення
безпечних умов праці;
збереження на
договірній основі мобілізаційних потужностей;
виробництво та
реалізація товарів народного споживання;
надання послуг іншим
юридичним особам та населенню;
зовнішньоекономічна
діяльність;
комерційна,
посередницька, торгова та інші види господарської діяльності, не заборонені
чинним законодавством.
Товариство є
юридичною особою від дня його державної реєстрації.
Майно Товариства
складається з основних засобів та обігових цінностей, а також цінностей,
вартість яких відображена в балансі Товариства.
Товариство має
самостійний баланс, розрахунковий, валютний та інші рахунки в установах банків,
печатку зі своєю назвою, фірмову марку та торговий знак.
Прибуток Товариства
утворюється з надходжень від господарської діяльності після покриття
матеріальних та прирівняних до них витрат і витрат на оплату праці. З
балансового прибутку Товариства вносяться передбачені законодавством України
податки та інші платежі до бюджету.
Чистий прибуток,
одержаний після зазначених розрахунків, залишається у повному розпорядженні
Товариства.
За рішенням загальних
зборів Товариство створює :
а) резервний
(страховий) фонд;
б) фонд оплати
дивідендів.
Фонд оплати
дивідендів створюється за рахунок чистого прибутку Товариства.
Кошти з фонду
сплачуються акціонерам пропорційно до загальної вартості належних їм акцій.
Товариство здійснює
оперативний та бухгалтерський облік результатів своєї діяльності, а також веде
статистичну звітність та подає її у встановленому порядку та обсязі органам
державної статистики.
Для аналізу основних
показників, які характеризують діяльність підприємства в поточному 2003 році
доцільно скласти таку таблицю:
Таблиця 1
Техніко-економічна
характеристика ВАТ ”Альфа”
| Показники |
Одиниця виміру |
2002 |
2003 |
Відхилення |
Темп росту, % |
| I. Продукція |
|
|
|
|
|
| 1.1.Обсяг
промислової продукції (послуг) в оптових цінах без ПДВ та акцизного збору в
діючих цінах |
Тис.
грн.
|
631,8 |
957,0 |
325,2 |
51,5 |
| 1.2.Зміна залишків
незавершеного виробництва |
Тис.
грн.
|
16,9 |
33,7 |
+16,8 |
99,4 |
| II. Фінансові
результати |
|
|
|
|
|
| 2.1. Балансовий
прибуток (збиток) |
Тис.
грн.
|
(3) |
(87) |
|
|
| 2.2.Собівартість
виготовленої продукції |
Тис.
грн.
|
748 |
1030,3 |
282,3 |
37,7 |
| 2.3. Виручка від
реалізації продукції (товарів, послуг) |
Тис.
грн.
|
853 |
1111 |
258 |
30,2 |
| III. Основні фонди |
|
|
|
|
|
| 3.1. Річна вартість
основних фондів |
Тис.
грн.
|
3562,2 |
3388,7 |
-173,5 |
-4,8 |
| IV. Праця |
|
|
|
|
|
| 4.1. Чисельність
штатних працівників основної діяльності (середня) |
Чол. |
207 |
189 |
-18 |
-8,7 |
| 4.2. Фонд оплати
праці |
Тис.
грн.
|
177 |
249 |
72 |
40,7 |
| V. Ефективність
виробництва |
|
|
|
|
|
| 5.1. Фондовіддача |
|
0,18 |
0,28 |
0,10 |
55,5 |
| 5.2. Фондомісткість |
|
5,64 |
3,54 |
-2,1 |
-37,23 |
| 5.3.
Фондоозброєність |
|
17,21 |
17,93 |
0,72 |
4,18 |
За 2003 рік випущено
товарної продукції (в оптових цінах ) на 957 тис. грн., що на 325,2 тис. грн.
більше обсягу 2002 року. Разом з тим збільшилось незавершене виробництво на
16,8 тис. грн. Реалізовано продукції на 1111 тис. грн., що на 33,2% більше
реалізації минулого періоду.
Від всієї
господарської діяльності в 2003 році підприємство отримало збитків на суму 87
тис. грн. Якщо порівняти цей результат з результатом минулого року, то можна
судити про погіршення фінансового стану підприємства, а саме про збитковість
виробництва. Все це свідчить про не конкурентоспроможність продукції
підприємства, що пов’язано з великими матеріальними витратами на її
виробництво, а також про незадовільну роботу відділів збуту та маркетингу.
Собівартість
виготовленої продукції збільшилась на 282,3 тис. грн. (37,7%). Як стверджують
спеціалісти підприємства, якість продукції, що виготовляється, досить високої
якості, але через велику ціну (яка обумовлена високим рівнем собівартості
продукції) інструменти не користуються попитом. Про це свідчить і дуже високий
рівень фондомісткості, яка набагато перевищує нормативне значення. Хоча на
кінець звітного періоду вона знизилась, відбулось це головним чином за рахунок
збільшення випуску продукції. Підприємству доцільно було б продати частину
основних засобів, оскільки вони вже застарілі, та на отриману суму закупити
нове обладнання, більш досконале. Показники фондовіддачі менше нормативу, що
рекомендується спеціалістами (в межах 3). Тобто на одиницю фондів приходиться
менше одиниці продукції (на початок та кінець періоду відповідно 0,18 та 0,28).
В 2003 році в
порівнянні з відповідним періодом 2002 року чисельність всього персоналу
знизилась на 8,7%, а фонд оплати праці збільшився на 40,7%. Через нестачу
коштів у підприємства та відсутність замовлень воно було змушено звільнити 18
працюючих.
Таким чином,
результати аналізу основних показників діяльності підприємства за 2003 рік
свідчать про незадовільне становище підприємства. Це обумовлено недостатнім
забезпечення виробництва власними обіговими коштами, несвоєчасністю
розрахунків, великою заборгованістю підприємства перед постачальниками та
бюджетом.
Необхідно діяльність
підприємства орієнтувати на розширення зв’язків із зарубіжними партнерами, що
дасть змогу за рахунок надходження валютних коштів поліпшити і стабілізувати
фінансовий стан підприємства.
2.2 Загальна
оцінка фінансового стану та платоспроможності підприємства за 2003 рік
Агрегований баланс
для аналізу фінансового стану підприємства.
тис. грн.
| Показник |
На початок року |
На кінець року |
| ЗЗ |
715,2 |
998,9 |
| ВОК |
581 |
667,4 |
| ДФЗ |
622,8 |
763,2 |
Аналіз отриманих
даних свідчить про нестійкий фінансовий стан. Це означає, що підприємство, якщо
всі кредитори воднораз пред’являть вимогу погасити заборгованість, буде не в
змозі розрахуватися в повному обсязі, та в кінцевому підсумку буде вимушене
користуватися для цих цілей іншим джерелом (менш ліквідним - дебіторською
заборгованістю). В даному випадку це був би найбільш ймовірний вихід, тому що
кредитів підприємство не залучає (ні довгострокових, ні короткострокових). Хоча
підприємство в цілому, можна сказати, забезпечене оборотними коштами, але всі
вони мобілізовані в активи, які повільно реалізуються, і в дебіторську
заборгованість.
Але аналізу тільки
ліквідних активів підприємства далеко не достатньо для визначення ступеню його
платоспроможності, тому на практиці розраховують деякі інші показники.
Коефіцієнти
ліквідності в оцінці фінансового стану підприємства є найбільш важливими. Ці
показники визначають стан ділової активності підприємства і його ефективність,
спроможність наявними власними коштами розрахуватися з кредиторами,
акціонерами, бюджетом, банками.
Аналізуючи показники
ліквідності за строками, підприємства визначають, наскільки швидко виробничі
запаси і дебіторська заборгованість перетворювались у наявні гроші.
На підставі даних
другого розділу активу балансу розраховують коефіцієнти ліквідності. На
практиці використовують три коефіцієнти ліквідності.
При обчисленні
першого показника до ліквідних коштів включають лише грошові кошти у касі, на
банківських рахунках, а також цінні папери, які можуть бути реалізовані на
фондовій біржі. Цей показник носить назву коефіцієнта абсолютної ліквідності.
Він розраховується як відношення суми грошових коштів до короткострокових
зобов’язань.
Коефіцієнт абсолютної
ліквідності дає змогу визначити, яку частину короткострокової заборгованості
підприємство може негайно погасити. Він розраховується по формулі :
АЛ = ( Кі + Гк ) /
П, (7.1)
де Кі - кошти на
розрахунковому та інших рахунках ;
Гк - гроші в
касі ;
П - поточні
зобов’язання.
На початок року :
10500/134200 = 0,09
На кінець року :
5250/331500 = 0,016
Значення коефіцієнта
абсолютної ліквідності повинно бути у межах від 0,2 до 0,35.
Другим коефіцієнтом,
який характеризує ступінь ліквідності підприємства, є коефіцієнт швидкої
ліквідності (Acid test ratio, Quick ratio), який відрізняється від коефіцієнта
абсолютної ліквідності тим, що в склад ліквідних коштів включається також
дебіторська заборгованість та інші активи. Він обчислюється за формулою:
QR = ( Кі + Гк + Дз ) /
П, (7.2)
де Дз - дебіторська
заборгованість.
На початок року :
55500/134200 = 0,41
На кінець року :
166850/331500 = 0,5
Цей показник
характеризує прогнозні платіжні можливості підприємства при умові своєчасного
проведення розрахунків з дебіторами. Цей коефіцієнт повинен дорівнювати або бути
більшим 1, але реально для українських підприємств він складає не більше
0,7-0,8. Виходячи з цього рекомендоване значення 0,3-1
Третій коефіцієнт -
коефіцієнт загальної ліквідності (Current Ratio) має в своєму чисельнику ще й
суму виробничих запасів:
CR = ( Кі + Гк + Дз + Зз ) /
П, (7.3)
де Зз - виробничі
запаси.
На початок року :
715200/134200 = 5,33
На кінець року :
998900/331500 = 3,01
Згідно з міжнародною
практикою, значення коефіцієнта ліквідності повинні знаходитися в межах від
одиниці до двох (іноді до трьох). Нижня границя обумовлена тим, що оборотних
коштів повинне бути щонайменше досить для погашення короткострокових
зобов'язань, інакше компанія виявиться під погрозою банкрутства. Перевищення
оборотних коштів над короткостроковими зобов'язаннями більш ніж у три рази
також є небажаним, оскільки може свідчити про нераціональну структуру активів.
Четвертий коефіцієнт
- чистий оборотний капітал (Net working capital), у грошових одиницях:
NWC = Ап – П (7.4)
де Ап – поточні
активи
На початок року :
715200-134200 = 581000
На кінець року :
999600-331500 = 668100
Значення, що
рекомендуються: > 0
Різниця між
оборотними активами підприємства і його короткострокових зобов'язань. Чистий
оборотний капітал необхідний для підтримки фінансової стійкості підприємства,
оскільки перевищення оборотних коштів над короткостроковими зобов'язаннями
означає, що підприємство не тільки може погасити свої короткострокові
зобов'язання, але і має резерви для розширення діяльності. Оптимальна сума
чистого оборотного капіталу залежить від особливостей діяльності компанії,
зокрема від її масштабів, обсягів реалізації, швидкості оборотності
матеріальних запасів і дебіторської заборгованості. Недолік оборотного капіталу
свідчить про нездатність підприємства вчасно погасити короткострокові
зобов'язання. Значне перевищення чистого оборотного капіталу над оптимальною
потребою свідчить про нераціональне використання ресурсів підприємства.
Наприклад: випуск чи акцій одержання кредитів понад реальну потребу.
Обчислення чотирьох
різних показників ліквідності обумовлено потребою зробити висновок про стійкий
фінансовий стан контрагентами, виходячи із стосунків з підприємством.
Наприклад, для постачальника сировини, матеріалів та послуг значний інтерес
представляє перший показник; для банка підприємства, яке кредитується - другий,
четвертий, для володаря акцій і облігацій підприємства - третій.
Таблиця 5
Аналіз показників
ліквідності підприємства
| Показники |
На початок року |
На кінець року |
| Грошові кошти, тис.
грн. |
10,5 |
5,25 |
| Дебіторська
заборгованість, тис. грн. |
45 |
161,6 |
| Запаси і затрати,
тис. грн. |
659,7 |
832,05 |
| Поточні
зобов’язання, тис. грн. |
134,2 |
331,5 |
| Коефіцієнт
абсолютної ліквідності |
0,09 |
0,016 |
| Коефіцієнт швидкої
ліквідності |
0,41 |
0,5 |
| Коефіцієнт
загальної ліквідності |
5,33 |
3,01 |
| Чистий оборотний
капітал |
581000 |
668100 |
Згідно таблиці 5
можна зробити висновки про не досить високий рівень ліквідність підприємства за
період, що аналізується. Це звичайно свідчить про нестабільне фінансове становище
підприємства на протязі всього періоду.
Згідно отриманим
даним, коефіцієнт абсолютної ліквідності дуже низький. Його значення свідчить
про те, що тільки 1,6% короткострокової заборгованості підприємство може
погасити негайно, по зрівнянню з початком періоду - 9%.
Коефіцієнт швидкої
ліквідності теж має низьке значення, яке майже вдвічі нижче оптимального. На
кінець періоду цей показник декілька збільшився за рахунок збільшення
дебіторської заборгованості. А оскільки даний коефіцієнт має вирішальне значення
для банків, так як характеризує ступінь надійності підприємства при поверненні
кредитів, тенденція до збільшення свідчить на користь підприємству.
Тобто показники
абсолютної і швидкої ліквідності набагато нижчі нормативних значень. Це визнано
перевищенням темпів росту поточної заборгованості темпів росту ліквідних коштів
підприємства.
Високим лишається
тільки показник загальної ліквідності, є досить високим і відповідав
нормативному значенню (навіть перевищував його). Тобто на початок звітного періоду
на кожну гривню короткострокових зобов’язань припадало 5,33 гривні поточних
активів; на кінець періоду – 3,01 гривні. Але він також мають тенденцію до
зменшення. На жаль, високі показники загальної ліквідності свідчать не про
стабільний фінансовий стан підприємства і про ефективність його діяльності, а
про наявність у підприємства понаднормативних виробничих запасів, що не є
позитивною рисою при аналізі фінансового стану підприємства.
Збільшення чистого
оборотного капіталу свідчить про нераціональне використання ресурсів
підприємства.
Аналіз ліквідності
активів підприємства допомагає визначити можливість покриття зобов’язань
активами, строк перетворення яких у грошові кошти відповідає строку погашення
зобов’язань.
Таким чином,
підприємство можна назвати ліквідним (платоспроможним). Та через брак
ліквідних коштів підприємство нездатне покрити короткострокові зобов’язання.
Більшість коштів підприємства мобілізовані в виробничі запаси, які є важко
реалізованими активами і не можуть забезпечити високу платоспроможність
підприємства.
Причинами нестачі
ліквідних оборотних засобів також є збитковість діяльності підприємства, що
веде до нестачі власних джерел для самофінансування, а також відволікання
коштів у дебіторську заборгованість та високий показник кредиторської
заборгованості.
Одним
з найважливіших показників, що характеризують фінансову стійкість підприємства,
є показник питомої ваги загальної суми власного капіталу в підсумку активу
балансу, тобто відношення загальної суми власного капіталу до майна
підприємства. В практиці цей відносний показник отримав назву коефіцієнт
автономії. По ньому дивляться, наскільки підприємство незалежно від позикового
капіталу.
Коефіцієнт автономії
= Власний капітал / Майно підприємства (7.5)
Для коефіцієнту
автономії бажано, щоб він перебільшував по своїй величині 50% . В цьому випадку
його кредитори почувають себе спокійно, бо знають, що весь позиковий капітал
може бути компенсований власністю підприємства .
Таблиця 6
Оцінка динаміки
показника автономії підприємства
| Показники |
На початок року |
На кінець року |
| Власні кошти, тис.
грн. |
4143,2 |
4056,8 |
| Загальна сума
джерел коштів, тис. грн. |
4277,4 |
4388,3 |
| Коефіцієнт
автономії |
0,969 |
0,924 |
| Темпи росту, % |
-- |
- 4,64 |
Доля власних коштів у
загальній сумі джерел коштів досить висока. Але на кінець року трапилось
зниження коефіцієнту на 4,64%.
Взагалі отримані дані
свідчать про високу ступінь незалежності підприємства від зовнішнього
фінансування.
Похідними від
коефіцієнта автономії є такі показники, як коефіцієнт фінансової залежності та
коефіцієнт співвідношення позикових та власних коштів.
Коефіцієнт фінансової
залежності є зворотним до коефіцієнту автономії. Збільшення цього показника в
динаміці означає збільшення долі позикових коштів у фінансуванні підприємства .Якщо
його значення знижується до одиниці (100%) , то підприємство повністю
фінансується за рахунок власних коштів.
Коефіцієнт фінансової
стійкості вираховується як співвідношення власних та позикових коштів.
Перевищення власних коштів над позиковими свідчить про те, що підприємство має
достатній запас фінансової стійкості і відносно не залежить від зовнішніх
фінансових джерел. Коефіцієнт фінансової стійкості повинен дорівнювати 0.85 -
0.90.
Таблиця 7
Аналіз динаміки
коефіцієнту співвідношення власних і позичених коштів підприємства
| Показники |
На початок року |
На кінець року |
| Власні кошти, тис.
грн. |
4143,2 |
4056,8 |
| Позичені кошти,
тис. грн. |
134,2 |
331,5 |
| Коефіцієнт
співвідношення власних і позичених коштів |
30,87 |
12,24 |
| Темпи росту, % |
-- |
- 60,35 |
Показник фінансової
стійкості підприємства відповідає нормативному значенню, навіть в кілька разів
перевищує його.
Різке зниження
коефіцієнту обумовлено підвищенням обсягу позикових коштів майже в 2,5 рази.
Але більш чітко
ступінь залежності підприємства від залучених коштів виражається у коефіцієнті
співвідношення залучених та власних коштів. Він показує, яких коштів у
підприємства більше - залучених чи власних. Чим більше коефіцієнт, тим більше
залежність підприємства від залучених коштів. Допустимий рівень залежності визначається
умовами роботи кожного підприємства і, в першу чергу, швидкістю обігу обігових
коштів.
Коефіцієнт
співвідношення позичених і власних коштів є часткою від ділення всієї суми
зобов'язань по залучених позичених коштах на суму власних коштів. Він показує,
скільки позичених коштів залучило підприємство на 1 грн. вкладених у активи
власних коштів.
Таблиця 8
Аналіз динаміки і
темпів росту показника співвідношення позичених і власних коштів.
| Показники |
На початок року |
На кінець року |
| Позичені кошти, тис.
грн. |
134,2 |
331,5 |
| Власні кошти, тис.
грн. |
4143,2 |
4056,8 |
| Коефіцієнт
співвідношення позичених і власних коштів |
0,03 |
0,08 |
| Темпи росту, % |
- |
166,6 |
Згідно даних таблиці
на кожну гривню вкладених в активи підприємства власних коштів на початок року
припадало 3 коп. позикових коштів, на кінець року – 8 коп. Тобто підвищився
рівень фінансової залежності підприємства від позикових коштів.
Стан обігових коштів
відображається в показниках забезпеченості матеріальних запасів власними
оборотними коштами та маневреності власних коштів.
Коефіцієнт
маневреності власних коштів визначається співвідношенням власних оборотних
коштів підприємства та власного капіталу.
Коефіцієнт
маневреності = Власні оборотні кошти / Власний капітал (7.6)
Коефіцієнт
маневреності показує, яка частина власних коштів підприємства знаходиться в
мобільній формі, яка дозволяє відносно вільно маневрувати цими коштами.
Забезпечення власних поточних активів власним капіталом є гарантією стійкості
фінансового стану при нестійкій кредитній політиці. Високі значення коефіцієнту
маневрування позитивно характеризує фінансовий стан.
Деякі автори вважають
оптимальним значення цього показника рівним 0,5, а для показника забезпеченості
власними оборотними коштами матеріальних запасів пропонується критерій на рівні
не нижче 0,6. Але ці критерії, що пропонуються, може бути взяти під сумнів.
Таблиця 9
Аналіз динаміки і
темпів росту маневреності власних коштів
| Показники |
На початок року |
На кінець року |
| Власні оборотні
кошти, тис. грн. |
581 |
668,1 |
| Джерела власних
коштів, тис. грн. |
4143,2 |
4056,8 |
| Коефіцієнт
маневреності власних коштів |
0,14 |
0,165 |
| Темпи росту, % |
--- |
17,86 |
В 2003 році гнучкість
використання власних коштів підприємства досить висока.
Забезпеченість
матеріальних запасів власними оборотними коштами – це співвідношення власних
оборотних коштів та матеріальних запасів, тобто показник того, в якій мірі
матеріальні запаси покриті власними джерелами та не потребують залучення
позикових.
Рівень показника
забезпеченості матеріальних запасів власними оборотними коштами оцінюється
насамперед в залежності від стану матеріальних запасів. Якщо їх величина значно
перевищує обумовлену потребу, то власні оборотні кошти можуть покривати лише
частину матеріальних запасів, тобто показник буде менше одиниці. Навпаки, при
недостатності у підприємства матеріальних запасів для безперебійного здійснення
діяльності, показник може бути вище одиниці, але це не буде свідчити про гарний
фінансовий стан підприємства.
Рівень коефіцієнту
маневрування залежить від характеру діяльності підприємства : в фондомістких
виробництвах його нормальний рівень повинен бути нижче, ніж в матеріаломістких
(оскільки в фондомістких значна частина власних коштів є джерелом покриття
основних виробничих фондів). З фінансової точки зору чим вище коефіцієнт
маневрування, тим кращий фінансовий стан.
В чисельнику обох
показників – власні оборотні кошти, тому в цілому покращення стану оборотних
коштів залежить від попереджувального зростання суми власних оборотних коштів у
порівняння із зростанням матеріальних запасів та власних джерел коштів.
Таблиця 10
Аналіз динаміки і
темпів росту маневреності матеріальних запасів
| Показники |
На початок року |
На кінець року |
| Власні оборотні
кошти, тис. грн. |
581 |
668,1 |
| Матеріальні запаси,
тис. грн. |
659,5 |
832,05 |
| Коефіцієнт маневреності
матеріальних запасів |
0,88 |
0,71 |
| Темп росту, % |
--- |
- 19,32 |
Тобто, як бачимо з
таблиці, матеріальні запаси на початок та кінець року покривалися власними
оборотними коштами відповідно на 88% та 71%.
Індекс постійного
активу – коефіцієнт, що характеризує долю основних засобів та необоротних
активів в джерелах власних коштів.
Індекс постійного
активу = Нерухомість / Джерела власних коштів (7.7)
Таблиця 11
Аналіз динаміки і
темпів росту індексу постійного активу
| Показники |
На початок року |
На кінець року |
| Нерухомість |
3562,2 |
3388,7 |
| Джерела власних
коштів |
4143,2 |
4056,8 |
| Індекс постійного
активу |
0,86 |
0,84 |
| Темп росту, % |
--- |
- 2,33 |
В нашому прикладі
значення індексу постійного активу досить високе : на протязі звітного періоду
воно майже не змінилось та складало на початок та кінець звітного періоду
відповідно 86% та 84%.
Дуже важливим
показником фінансової стійкості є коефіцієнт реальної вартості основних засобів
у майні підприємства. Він визначає, яку долю в вартості майна складають основні
засоби виробництва. Коефіцієнт розраховується як відношення сумарної величини
основних засобів (по залишковій вартості) до вартості майна підприємства за
підсумком балансу (валюти балансу).
Коефіцієнт РВОЗ =
Основні засоби / Майно підприємства (7.8)
Цей коефіцієнт
визначає рівень виробничого потенціалу підприємства, забезпеченість виробничого
процесу засобами виробництва. Він є дуже важливим, якщо дане підприємство бажає
встановити договірні відносини з новими партнерами – постачальниками або
покупцями. Коефіцієнт реальної вартості майна у таких постачальників або
покупців допоможе підприємству скласти уяву про їх виробничий потенціал та
доцільність укладання договорів з ними з цієї точки зору.
Нормальним вважається
обмеження, коли реальна вартість майна складає більш 0,5 від загальної вартості
активів.
Таблиця 12
Аналіз динаміки і
темпів росту коефіцієнту реальної вартості майна
| Показники |
На початок року |
На кінець року |
| Реальні активи |
3520 |
3346,5 |
| Загальна сума
капіталу |
4277,4 |
4388,3 |
| Коефіцієнт реальної
вартості майна |
0,83 |
0,76 |
| Темп росту, % |
--- |
- 8,4 |
Згідно даних таблиці
12 рівень виробничого потенціалу підприємства дуже високий, хоча на кінець
періоду він декілька зменшився.
2.3 Вплив ПДВ
Зниження
трудомісткості продукції, збільшення продуктивності праці можна досягнути
різними шляхами. Найбільш важливі з них – механізація та автоматизація
виробництва, розробка та застосування прогресивних, високопродуктивних
технологій, заміна та модернізація застарілого обладнання. На даному
підприємстві дуже багато застарілого обладнання, яке можна продати без будь –
якої шкоди для виробництва, це допоможе скоротити простої. Отримані кошти можна
вкласти в нове, ресурсозберігаюче обладнання, яке підвищить фондовіддачу.
Важливим є підвищення
вимог та застосування вхідного контролю за якістю сировини, яка надходить від
постачальників та матеріалів, комплектуючих виробів та напівфабрикатів.
Скорочення витрат по
амортизації основних виробничих фондів можна досягнути шляхом кращого
використання цих фондів, збільшення їх навантаження.
Як і у всіх інших, в
умовах кризи неплатежів у даного підприємства є нестача грошових коштів,
проблеми із збутом (велика сума готової продукції на складі) та з отриманням
дебіторської заборгованості.
Щодо джерел отримання
грошових коштів, то до них відносяться :
Реалізація продукції
з негайною оплатою або із знижкою.
Отримання
дебіторської заборгованості.
Продаж резервних
грошових активів.
Продаж матеріальних і
нематеріальних активів (зайвих запасів).
Отримання банківських
кредитів.
Залучення інвестицій,
приватного капіталу та інших внесків до статутного фонду.
Перші чотири шляхи
більш доцільні, тому що не приводять до збільшення валюти балансу. В цих
випадках грошові кошти формуються шляхом реструктуризації активів. Два останніх
можуть використовуватись для підтримки поточної платоспроможності в крайніх
випадках, тому що вони приводять до відволікання залучених фінансових ресурсів
від цільового використання.
Але щодо поточної
ліквідності, то даний коефіцієнт знаходиться в межах норми. У підприємства є
проблеми із грошовими коштами. Тому треба приділити увагу збуту продукції за
готівку. Цьому має сприяти правильна маркетингова політика (пошук нових, більш
платоспроможних споживачів продукції, нових ринків, розширення збутової мережі,
підвищення якості продукції).
Для поповнення
власного капіталу треба, перш за все, оцінити вартість його залучення з різних
джерел. До того, як звертатись до зовнішніх джерел формування власного
капіталу, повинні бути реалізовані можливості його формування за рахунок
внутрішніх джерел. А основні внутрішні джерела – прибуток та амортизаційні
відрахування.
Так, для
удосконалення діяльності треба здійснити наступне:
Прискорити
оборотність оборотних коштів через активізацію системи постачання;
Знизити витрати
електроенергії через проведення ревізії обладнання, блокування деяких машин та
впровадження блочного, місцевого включення світла та інших заходів;
Зменшення витрат на
обробку продукції через модернізацію обладнання та нові технології.
Треба розробити
гнучку систему знижок та кредитування для оптових покупців, вивчити
ефективність організації та проведення сезонних розпродаж зі знижками в ціні.
Ці всі заходи будуть
закладом підвищення виручки , а також прибутку на необхідну величину, що
дозволить підвищити рентабельність капіталу.
Але якщо сума
власного капіталу із внутрішніх джерел є недостатньою, треба звертатись до
зовнішніх джерел залучення. Це вимагає необхідність розробки емісійної політики
підприємства. Основною метою цієї політики є залучення на фондовому ринку
необхідного обсягу власних фінансових коштів в мінімально можливі строки.
Процес управління
вартістю залученого капіталу за рахунок зовнішніх джерел характеризуються
високим рівнем складності і потребує відповідної кваліфікації виконавців.
Поряд з власним
капіталом підприємство певну частину своїх фінансових ресурсів формує за
рахунок позикового капіталу. За питомою вагою у складі залучених джерел
фінансування значне місце займають банківські кредити та кредиторська
заборгованість, в тому числі комерційний і товарний кредити. Необхідність
кредиту як джерела поповнення фінансових ресурсів підприємства визначається
характером кругообігу основних і оборотних активів. Але ж як джерело
фінансування, позиковий капітал теж має свої особливості:
Відносна простота
формування базових показників оцінки вартості. Це вартість обслуговування боргу
в формі процентів за кредит;
Виплати по
обслуговуванню боргу відносяться на собівартість, що зменшує розмір
оподатковуваної бази підприємства, тобто розмір вартості позикового капіталу
зменшується на ставку податку на прибуток;
Вартість залучення
позикового капіталу має високу ступінь зв’язку з рівнем кредитоздатності
підприємства, оціненого кредитором. Чим віще кредитоздатність підприємства по
оцінці кредитора, тим нижче вартість залученого позикового капіталу;
Залучення позикового
капіталу пов’язано із зворотним грошовим потоком по обслуговуванню боргу та по
погашенню зобов’язань по основній сумі боргу.
Вартість внутрішньої
кредиторської заборгованості при визначенні вартості капіталу враховується по
нульовій ставці, тому що це безплатне фінансування підприємства за рахунок
цього позикового капіталу. Але не можна збільшувати суму капіталу за рахунок
цього джерела, бо якщо кошти затримуються на тривалий час в обігу і своєчасно не
повертаються, це може стати причиною простроченої кредиторської заборгованості,
що в кінці приведе до виплати штрафів, санкцій та погіршити фінансовий стан .
Щодо позикового
капіталу, то у підприємства при існуючій структурі коштів і низькій рентабельності
активів у порівнянні з процентними ставками за кредит є дуже незначні
можливості по його залученню. Треба в першу чергу вирішувати збутові проблеми і
підвищувати кредитоздатність підприємства.
Оптимізація
фінансової структури капіталу є одним з найбільш важливих та складних завдань
фінансового менеджменту. Оптимальна структура капіталу – це таке співвідношення
його власних і залучених джерел, при якому забезпечується оптимальне
співвідношення між рівнем рентабельності власного капіталу та рівнем фінансової
стійкості, тобто максимізація ринкової вартості підприємства.
Хоча залучення
кредитів можливо, коли вже забезпечена висока рентабельність капіталу іншим
способом. Це дозволить зрівняти суми дебіторської та кредиторської
заборгованості.
Таким чином, в результаті
розглянутих варіантів можна сказати, що політика оптимізації структури капіталу
спрямована на підвищення долі власного капіталу. А саме прибутку, через
неможливість залучення кредитів. Але ж якщо взяти за мету підвищення
рентабельності власного капіталу, то теоретично найкращий варіант – залучення
позик. Але є обмеження по коефіцієнту платоспроможності, який не дозволяє
збільшити позиковий капітал без збільшення оборотних активів. Збільшення
питомої ваги оборотних активів дозволяє збільшити позиковий капітал та зменшити
власний і зберегти платоспроможність. Рентабельність капіталу тим більша, чим
нижче його сума і вище прибуток, а при заміні власного капіталу позиковим вона
підвищується.
Щодо управлінням
дебіторською заборгованістю, то найбільш ефективними будуть такі шляхи:
Визначення термінів
прострочених залишків на рахунках дебіторів і порівняння цих термінів із
середніми показниками в галузі, показниками конкурентів і даними минулих років;
Періодичний перегляд
граничної суми кредиту, виходячи з реального фінансового становища клієнтів;
Якщо виникають
проблеми з одержанням грошей, то необхідно вимагати заставу на суму, не меншу,
ніж сума на рахунку дебітора;
Використання
арбітражних судів для стягнення боргів при наявності порук чи гарантій;
Продаж рахунків
дебіторів факторинговій компанії чи банку, що надає факторингові послуги, якщо
це вигідно;
При продажу великої
товарної партії негайне виставлення рахунка покупця;
Використання
циклічної виписки рахунків для підтримання одноманітності операцій;
Відправлення поштою
рахунків покупцям за декілька днів до настання терміну платежу;
Пропозиція відстрочки
у виплаті грошей для стимулювання попиту;
Страхування кредитів
для захисту від значних збитків за безнадійними боргами;
2.3 Вплив ПДВ
Показники рентабельності
є відносними характеристиками фінансових результатів і ефективності діяльності
підприємства.
Вони вимірюють
прибутковість підприємства з різні позиції і групуються відповідно до інтересів
учасників економічного процесу, ринкового обміну. Адміністрацію цікавить
віддача (прибутковість) усіх виробничих активів; потенційних інвесторів і
кредиторів - віддача на капітал що інвестувався; власників і засновників -
прибутковість акції і т.д.
Рентабельність
продажу. Він показує, який прибуток з однієї гривні продажу отримало
підприємство. Рентабельність продажу = Чистий прибуток (ряд. 220 ф. № 2) /
Чистий дохід (виторг) від реалізації продукції (товарів, робіт, послуг) (ряд.
035 ф. № 2) Нормальною вважається рентабельність не менша 30%, в умовах високого
податкового тиску – 15%.
Рентабельність у
2003р. для підприємства становила:-84000 / 1111000 = -0,08 (-8 %). Звідси
робимо висновок, що після вирахування з отриманого доходу всіх витрат
залишається 8 копійок збитків від кожної гривні продажу. У 2002р – 3000 /
853000 = -0,003 (-0,3%). Збитки становили всього 0,3 копійки від кожної гривні
продажу.
Рентабельність
капіталу. Показує ефективність використання всього майна підприємства. Зниження
його свідчить про падаючий попит на продукцію підприємства і про перенагромадження
активів. Цей показник визначається як співвідношення чистого прибутку і
середньорічної вартості власного капіталу. Рентабельність капіталу = Чистий
прибуток (ряд. 220 ф. № 2) / (Власний капітал на початок періоду (ряд. 380 гр.
З ф. № 1) + Власний капітал на кінець періоду (ряд. 380 гр. 4 ф. № 1)) / 2 Для
нашого підприємства вона складає: -84000 / 4100000 = -0,02 (-2%)
Рентабельність майна
Характеризує ефективність використання основних засобів підприємства. Цей
показник визначається як співвідношення валового прибутку і середньорічної
вартості основних засобів підприємства. Рентабельність майна = валовий прибуток
(ряд. 50 ф. № 2) / Залишкову вартість основних засобів підприємства(ряд. 030
гр. З ф. № 1). Вона складає: 80700 / 3346500 = 0,024 (2,4%) за звітний період
та 105000 / 3520000 = 0,03 (3%) за попередній період.
Рентабельність
продукції. Цей показник дає можливість побачити скількох прибутків отримано на
одиницю собівартості реалізованої продукції. Рентабельність продукції =
Прибуток, що залишається в розпорядженні підприємства (ряд. 50 ф. № 2) / Повна
собівартість реалізованої продукції (ряд. 40 ф. № 2). Вона складає: 80700 /
1030300 = 0,08 (8%) за звітний період та 105000 / 74800 = 0,14 (14%) за
попередній період. Рентабельність продукції за звітний рік упала в 1,75 рази і
склала всього 8%. Значить кожен карбованець витрачений на виробництво приніс
тільки 8 копійок прибутку.
Показник
рентабельності виробництва знаходиться в прямій залежності від рентабельності
продукції й оберненій залежності від зміни фондомісткості продукції.
Підвищення
рентабельності продукції забезпечується переважно зниженням собівартості
одиниці продукції. Чим краще використовуються основні виробничі фонди, тим
нижче фондомісткість, вище фондовіддача і в наслідок цього відбувається
зростання показника рентабельності виробництва. При поліпшенні використання
матеріальних обігових коштів знижується їхній розмір, що припадає на 1 гривню
реалізованої продукції. Отже, чинники прискорення оборотності матеріальних
оборотних коштів є одночасно чинниками росту рентабельності виробництва.
Розділ 3.Напрями
удосконалення фінансового стану ВАТ «Альфа»
Зниження
трудомісткості продукції, збільшення продуктивності праці можна досягнути
різними шляхами. Найбільш важливі з них – механізація та автоматизація
виробництва, розробка та застосування прогресивних, високопродуктивних
технологій, заміна та модернізація застарілого обладнання. На даному
підприємстві дуже багато застарілого обладнання, яке можна продати без будь –
якої шкоди для виробництва, це допоможе скоротити простої. Отримані кошти можна
вкласти в нове, ресурсозберігаюче обладнання, яке підвищить фондовіддачу.
Важливим є підвищення
вимог та застосування вхідного контролю за якістю сировини, яка надходить від
постачальників та матеріалів, комплектуючих виробів та напівфабрикатів.
Скорочення витрат по
амортизації основних виробничих фондів можна досягнути шляхом кращого
використання цих фондів, збільшення їх навантаження.
Можна порекомендувати
виробництво продукції значною кількістю маленьких серій, тоді витрати по
складуванню готової продукції будуть мінімальними. Але, з іншого боку,
збільшаться витрати на підготовку виробництва. Доцільно продати деяку кількість
виробничих запасів та незавершеного виробництва.
Як і у всіх інших, в
умовах кризи неплатежів у даного підприємства є нестача грошових коштів,
проблеми із збутом (велика сума готової продукції на складі) та з отриманням
дебіторської заборгованості.
Щодо джерел отримання
грошових коштів, то до них відносяться :
Реалізація продукції
з негайною оплатою або із знижкою.
Отримання
дебіторської заборгованості.
Продаж резервних
грошових активів.
Продаж матеріальних і
нематеріальних активів (зайвих запасів).
Отримання банківських
кредитів.
Залучення інвестицій,
приватного капіталу та інших внесків до статутного фонду.
Перші чотири шляхи
більш доцільні, тому що не приводять до збільшення валюти балансу. В цих
випадках грошові кошти формуються шляхом реструктуризації активів. Два останніх
можуть використовуватись для підтримки поточної платоспроможності в крайніх
випадках, тому що вони приводять до відволікання залучених фінансових ресурсів
від цільового використання.
Але щодо поточної
ліквідності, то даний коефіцієнт знаходиться в межах норми. У підприємства є
проблеми із грошовими коштами. Тому треба приділити увагу збуту продукції за
готівку. Цьому має сприяти правильна маркетингова політика (пошук нових, більш
платоспроможних споживачів продукції, нових ринків, розширення збутової мережі,
підвищення якості продукції).
Так, щоб оптимізувати
значення коефіцієнту абсолютної ліквідності з тією ж сумою короткострокової
заборгованості, треба мати 26,84 тис. грн. в готівці або короткострокових
фінансових вкладеннях або суму короткострокової заборгованості 2,5 тис. грн.,
що є нереальним шляхом, оскільки у підприємства не буде вистачати коштів для
здійснення поточної діяльності. Тобто вихід з цієї ситуації – удосконалення
виробництва та розширення збутової мережі, щоб реалізувати товари на цю суму
хоча б із знижкою.
Для поповнення
власного капіталу треба, перш за все, оцінити вартість його залучення з різних
джерел. До того, як звертатись до зовнішніх джерел формування власного
капіталу, повинні бути реалізовані можливості його формування за рахунок
внутрішніх джерел. А основні внутрішні джерела – прибуток та амортизаційні
відрахування.
Так, для
удосконалення діяльності треба здійснити наступне:
Прискорити
оборотність оборотних коштів через активізацію системи постачання;
Знизити витрати
електроенергії через проведення ревізії обладнання, блокування деяких машин та
впровадження блочного, місцевого включення світла та інших заходів;
Зменшення витрат на
обробку продукції через модернізацію обладнання та нові технології.
Треба розробити
гнучку систему знижок та кредитування для оптових покупців, вивчити
ефективність організації та проведення сезонних розпродаж зі знижками в ціні.
Ці всі заходи будуть
закладом підвищення виручки , а також прибутку на необхідну величину, що
дозволить підвищити рентабельність капіталу.
Але якщо сума
власного капіталу із внутрішніх джерел є недостатньою, треба звертатись до
зовнішніх джерел залучення. Це вимагає необхідність розробки емісійної політики
підприємства. Основною метою цієї політики є залучення на фондовому ринку
необхідного обсягу власних фінансових коштів в мінімально можливі строки.
Процес управління
вартістю залученого капіталу за рахунок зовнішніх джерел характеризуються
високим рівнем складності і потребує відповідної кваліфікації виконавців.
Поряд з власним
капіталом підприємство певну частину своїх фінансових ресурсів формує за
рахунок позикового капіталу. За питомою вагою у складі залучених джерел
фінансування значне місце займають банківські кредити та кредиторська
заборгованість, в тому числі комерційний і товарний кредити. Необхідність
кредиту як джерела поповнення фінансових ресурсів підприємства визначається
характером кругообігу основних і оборотних активів. Але ж як джерело
фінансування, позиковий капітал теж має свої особливості:
Відносна простота
формування базових показників оцінки вартості. Це вартість обслуговування боргу
в формі процентів за кредит;
Виплати по
обслуговуванню боргу відносяться на собівартість, що зменшує розмір
оподатковуваної бази підприємства, тобто розмір вартості позикового капіталу
зменшується на ставку податку на прибуток;
Вартість залучення
позикового капіталу має високу ступінь зв’язку з рівнем кредитоздатності
підприємства, оціненого кредитором. Чим віще кредитоздатність підприємства по
оцінці кредитора, тим нижче вартість залученого позикового капіталу;
Залучення позикового
капіталу пов’язано із зворотним грошовим потоком по обслуговуванню боргу та по
погашенню зобов’язань по основній сумі боргу.
Вартість внутрішньої
кредиторської заборгованості при визначенні вартості капіталу враховується по
нульовій ставці, тому що це безплатне фінансування підприємства за рахунок
цього позикового капіталу. Але не можна збільшувати суму капіталу за рахунок
цього джерела, бо якщо кошти затримуються на тривалий час в обігу і своєчасно
не повертаються, це може стати причиною простроченої кредиторської
заборгованості, що в кінці приведе до виплати штрафів, санкцій та погіршити
фінансовий стан .
Таким чином, в
результаті розглянутих варіантів можна сказати, що політика оптимізації
структури капіталу спрямована на підвищення долі власного капіталу. А саме
прибутку, через неможливість залучення кредитів. Але ж якщо взяти за мету
підвищення рентабельності власного капіталу, то теоретично найкращий варіант –
залучення позик. Але є обмеження по коефіцієнту платоспроможності, який не
дозволяє збільшити позиковий капітал без збільшення оборотних активів.
Збільшення питомої ваги оборотних активів дозволяє збільшити позиковий капітал
та зменшити власний і зберегти платоспроможність. Рентабельність капіталу тим
більша, чим нижче його сума і вище прибуток, а при заміні власного капіталу
позиковим вона підвищується.
Щодо управлінням
дебіторською заборгованістю, то найбільш ефективними будуть такі шляхи:
Визначення термінів
прострочених залишків на рахунках дебіторів і порівняння цих термінів із
середніми показниками в галузі, показниками конкурентів і даними минулих років;
Періодичний перегляд
граничної суми кредиту, виходячи з реального фінансового становища клієнтів;
Якщо виникають
проблеми з одержанням грошей, то необхідно вимагати заставу на суму, не меншу,
ніж сума на рахунку дебітора;
Використання
арбітражних судів для стягнення боргів при наявності порук чи гарантій;
Продаж рахунків
дебіторів факторинговій компанії чи банку, що надає факторингові послуги, якщо
це вигідно;
При продажу великої
товарної партії негайне виставлення рахунка покупця;
Використання
циклічної виписки рахунків для підтримання одноманітності операцій;
Відправлення поштою
рахунків покупцям за декілька днів до настання терміну платежу;
Пропозиція відстрочки
у виплаті грошей для стимулювання попиту;
Страхування кредитів
для захисту від значних збитків за безнадійними боргами.