Реферат: Защитные диэлектрические пленки в планарной технологии
Реферат: Защитные диэлектрические пленки в планарной технологии
РЕФЕРАТ
ПО ФИЗИКЕ
ЗАЩИТНЫЕ ДИЭЛЕКТРИЧЕСКИЕ ПЛЕНКИ В
ПЛАНАРНОЙ ТЕХНОЛОГИИ
МОСКВА, 2008 г.
1. Требования, предъявляемые к защитным диэлектрическим пленкам
Защитные диэлектрические пленки играют важную роль в изготовлении
полупроводниковых приборов и интегральных микросхем по планарной технологии.
Они дают возможность проводить локальную диффузию донорной и акцепторной
примеси, формировать изолированные друг от друга активные и пассивные элементы
микросхем, а также защищать с-з-переходы от внешних воздействий.
Поэтому к защитным диэлектрическим пленкам в планарной технологии
предъявляют следующие основные требования: полная защита поверхности исходной
подложки от проникновения в нее диффундирующих элементов (бора, фосфора,
сурьмы, мышьяка и др.); химическая стойкость и стабильность во времени;
однородность и бездефектность; высокие удельное сопротивление и электрическая
прочность; высокая механическая прочность.
Выбор вещества для получения защитных диэлектрических пленок лимитируется
полным выполнением этих требований. Таким образом, изыскать универсальное
вещество для создания защитной диэлектрической пленки, удовлетворяющей
требованиям планарной технологии, очень трудно.
В качестве исходных материалов для изготовления защитных диэлектрических
пленок могут быть использованы кварц, монооксид и диоксид кремния, нитрид
кремния, оксид и нитрид алюминия, нитрид бора и др. Однако в настоящее время
широкое промышленное применение нашли только два вида материалов: диоксид и
нитрид кремния.

Рис. 1. Модель процесса термического окисления кремния
2. Кинетика термического окисления кремния
Наиболее распространенным в планарной технологии изготовления
полупроводниковых приборов и интегральных микросхем является метод термического
окисления кремния, при котором защитные диэлектрические пленки SiO2 получают при нагревании исходных кремниевых подложек в окислительной
среде. Этот метод позволяет получать высококачественные маскирующие пленки,
равномерные по толщине и структуре и обладающие высокими защитными и
диэлектрическими свойствами.
Рассмотрим кинетику процесса образования защитной диэлектрической пленки SiO2 при термическом окислении кремния в атмосфере кислорода. Для описания
процесса термического окисления введем понятие «поток окислителя», под которым
будем понимать количество молекул окислителя, пересекающих единицу поверхности
подложки в единицу времени.
На рис. 1 показана модель процесса термического окисления кремния,
представляющая собой систему окислитель (газ)—слой окисла (тв)—подложка
кремния. Через эту систему проходит «поток окислителя», состоящий из четырех
потоков, каждый из которых соответствует одной из областей системы окружающая
окислительная среда — подложка кремния.
Как видно из рисунка, поток F соответствует
газофазовому массопереносу окислителя к поверхности подложки кремния. Так как
на поверхности кремния всегда имеется тонкий слой оксида, то поток Fi в этом случае соответствует переносу окислителя к поверхности оксида. Этот
перенос может осуществляться как за счет процесса диффузии, так и за счет
принудительного перемещения с потоком газа-носителя или самого окислителя.
Скорость переноса будет зависеть от технологического режима процесса окисления.
В промышленных условиях для процесса термического окисления кремния
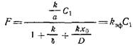
используют принудительный поток окислителя F1, проходящий через рабочую камеру с определенной скоростью:

где h — константа
скорости процесса газообразного массопереноса окислителя; C1— равновесная концентрация окислителя в объеме газовой фазы; C2—концентрация окислителя у поверхности оксида.
Окислитель, дошедший до поверхности оксида, адсорбируется на этой
поверхности и растворяется в ней. При этом между концентрацией окислителя в
газовой фазе и концентрацией окислителя, растворившегося в твердой фазе,
устанавливается соотношение, определяемое коэффициентом распределения. Движущей
силой процесса растворения окислителя в оксиде является градиент концентрации
окислителя в системе газ — поверхность оксида. Поэтому поток окислителя

где д — константа скорости процесса растворения окислителя в слое оксида; C3— концентрация окислителя
в слое оксида на границе с газовой фазой.
Растворившийся в слое оксида окислитель будет диффундировать от
поверхности раздела газовая фаза — оксид к границе раздела оксид — подложка
кремния. Поток окислителя F3 в этом случае
будет пропорционален разности концентраций на границах оксида и обратно
пропорционален толщине слоя оксида. Таким образом, поток окислителя
5
где D — коэффициент
диффузии окислителя в оксиде; C4—концентрация окислителя на границе оксид — подложка кремния; хо — толщина слоя
оксида.
Продиффундировавший через слой оксида окислитель подходит к границе оксид
— кремний и вступает в реакцию с кремнием. В результате окисления кремния
образуется новый слой оксида.
Поток Fi характеризует
скорость химической реакции окисления, которая происходит на поверхности
раздела оксид — кремний. Скорость окисления кремния пропорциональна
концентрации окислителя, следовательно,
F,
= kC
где k — константа
скорости реакции окисления.
Так как в установившемся режиме (при равновесии) все потоки равны, т. е. Fx-F2=Fz-Fi=F, то, решая
уравнения для потоков совместно, можно получить выражение для суммарного потока
окислителя с учетом всех входящих в отдельные потоки величин.
При ламинарном потоке газа-носителя и окислителя распределение
концентрации окислителя у границы раздела газ — твердое тело можно условно
заменить на линейное:
C1 = OC2, где 0<а<М.
При условии F2=Fa находим

Из условия F3=F4 находим

Складывая почленно эти выражения, получим зависимость С от Ci (Ci = aC2):


Подставляя значение C4 в выражение для
потока F4, получим выражение
для суммарного потока окислителя:

Если предположить, что на образование единичного объема оксида V в результате
реакции окисления пошло N частиц окислителя,
то скорость роста слоя оксида будет выражаться следующим уравнением:


Введем обозначения:
тогда
Интегрируя обе части уравнения методом разделения переменных, получим

Или

Решая это квадратное уравнение, получим выражение для толщины оксида в
функции времени:
5
Или

Рассмотрим два предельных случая процесса термического окисления кремния.
При большом времени окислительного процесса, когда t^>
>Л2/(4£), получим
, или Xo=Bi.
Таким образом, в этом предельном случае имеет место параболический закон
процесса термического окисления. Коэффициент В рассматривается как константа скорости
окисления.
В другом предельном случае при относительно малом времени окисления, т. е.
при условии t<^A2/(4B),
получим



Рис. 2. Зависимость толщины пленки S1O2 от времени проведения процесса окисления кремния
На рис. 2 показаны общая зависимость толщины оксида от времени проведения
процесса термического окисления и два ее предельных случая.
3. Термическое окисление кремния в парах воды
Для получения защитных диэлектрических пленок на кремнии используют
термическое окисление в парах воды высокой чистоты (порядка 10—20 МОм-см).
Высокотемпературную реакцию кремния с водяным паром используют в том случае,
когда количество пара не ограничивает скорость реакции. Для поддержания
необходимого парциального давления водяных паров у поверхности кремниевых
пластин воду подогревают.
Структурное формирование пленки оксида происходит за счет диффузионного
переноса воды через слой оксида к поверхности кремния. На структурное
формирование пленки оксида оказывает влияние водород, образующийся в процессе
реакции окисления и диффундирующий вглубь пластины. Так как коэффициент
диффузии водорода (2·10-6 см2/с при 1050°С) значительно
больше, чем коэффициент диффузии воды (9· 10-10 см2/с при
1050°С), то образование гидроксильных групп у границы раздела кремний — оксид
объясняется наличием не только молекул воды, но и водорода.
При температурах процесса окисления образование слоя оксида идет согласно
параболическому закону и описывается выражением X2=Bt.
Чем ниже температура процесса окисления, тем ближе к линейному закон
образования слоя оксида. Линейный характер роста оксидной пленки наблюдается в
парах воды высокого давления (2,5· 105—4,0*107 Па) при
температуре 500—800°С.

Рис. 3. Зависимость толщины пленки SiO2, выращенной в атмосфере водяного пара, от времени для температур, °С
Рост пленки оксида по линейному закону имеет место в том случае, когда
скорость окисления ограничена скоростью химической реакции на границе кремний — Оксид. На участке
линейного роста скорость реакции зависит от количества свободных связей атомов
кремния, которые могут реагировать с молекулами воды на границе раздела
кремний— оксид.
На рис. 3 приведена зависимость изменения толщины пленки оксида в
атмосфере водяного пара от времени проведения процесса для различных
температур.
Большое влияние на скорость роста оксидной пленки оказывают ориентация
подложки, тип электропроводности и концентрация примеси исходной подложки.
Высокая концентрация примеси в подложке влияет либо на скорость реакции
окисления на границе раздела кремний — оксид, либо на коэффициенты диффузии
окислителей. Так, наличие в исходной подложке фосфора в первую очередь
оказывает влияние на скорость реакции окисления. Поверхность кристалла с
высокой концентрацией фосфора окисляется значительно быстрее, чем
слаболегированная поверхность. Это справедливо для низкотемпературного
диапазона (600—10000C).
При термическом окислении растущий оксид оттесняет фосфор в глубь
кристалла кремния и, таким образом, в оксидном слое концентрация фосфора весьма
мала. Для бора картина обратная: растущий оксид включает в себя большое
количество бора, что приводит к ускорению диффузии окисляющих веществ. Поэтому
кремний с высокой концентрацией бора окисляется быстрее как в
высокотемпературной, так и в низкотемпературной области.
Скорость окисления в парах воды зависит от ориентации исходной пластины
кремния только в низкотемпературной области, где рост оксидной пленки не подчиняется
параболическому закону.
4. Термическое окисление кремния в сухом кислороде
Отличием метода окисления в сухом кислороде от окисления в парах воды
является то, что в первом случае веществом, диффундирующим сквозь растущую
пленку оксида, является не вода, а ионы кислорода. Необходимо отметить, что
коэффициент диффузии кислорода в пленке оксида (2,8· 10-14 см2/с
при 1050°С) значительно меньше, чем у водорода и воды при тех же условиях.
Поэтому скорость роста оксидной пленки в сухом кислороде меньше, чем в парах
воды.
Так как в процессе образования оксидных пленок отсутствуют водород и -
пары воды, то в структуре выращенного оксида нет гидроксильных групп (ОН).
Высокая энергия активации процесса окисления кремния в сухом кислороде и
отсутствие гидроксильных групп приводят к образованию прочных связей кислорода
с кремнием в структуре получаемого оксидного слоя кремния.
Как и при окислении в парах воды, кинетика окисления в области низких
температур определяется в большей мере скоростью реакции на границе раздела
кремний — оксид, чем диффузией кислорода. Отклонение закона роста пленки оксида
в сторону линейности обычно имеет место при температурах ниже 10000C
На рис. 4 приведены графики зависимости изменения толщины оксида в атмосфере
сухого кислорода от времени проведения процесса окисления для различных
температур.
Процесс окисления кремния в сухом кислороде проводят на установке,
показанной на рис. 5. В качестве осушителя используют вымораживающую ловушку,
химический поглотитель или комбинированное устройство, позволяющее снизить
содержание влаги в кислороде до точки росы. Фильтр служит для удаления частиц
пыли и механических загрязнений.

Рис. 4. Зависимость толщины пленки SiO2, выращенной в атмосфере сухого кислорода, от времени для температур,
°С:

5. Термическое окисление кремния во влажном кислороде
Процесс окисления кремния во влажном кислороде представляет собой
комбинацию двух ранее рассмотренных процессов окисления: в парах воды и в сухом
кислороде. Сухой и очищенный от примесей кислород пропускают через водяную
баню, где он насыщается горячими водяными парами, и затем подают его в рабочую
камеру. Содержание влаги в потоке кислорода определяется температурой водяной
бани и скоростью потока кислорода.
Так как скорость образования оксидного слоя в парах воды значительно выше,
чем в сухом кислороде, то скорость процесса окисления кремния зависит от
содержания влаги в потоке кислорода. Процесс окисления кремния во влажном
кислороде проводят на установке, показанной на рис. 5.
Основным достоинством данного метода является то, что он позволяет легко
изменять концентрацию паров воды в потоке кислорода и варьировать скорость
окисления от значения, соответствующего 100%-ному содержанию кислорода, до
значения, соответствующего 100%-ному содержанию паров воды.
В данном методе в качестве окислителя служит смесь кислорода и паров воды,
причем соотношение этих компонентов можно изменять в широких пределах.
Если необходимо иметь низкие скорости процесса окисления, то вместо кислорода
можно использовать поток аргона или азота «(температура водяной бани должна
быть комнатной).
Энергия активации реакции окисления во влажном кислороде уменьшается с
увеличением концентрации паров воды. Энергия активации лежит в диапазоне от 1,3
эВ, что соответствует процессу окисления в сухом кислороде, до 0,8 эВ, что
соответствует процессу окисления в атмосфере водяного пара.
На рис. 6 приведены графики зависимости толщины оксидной пленки,
выращенной в атмосфере влажного кислорода при температуре 1200° С, от времени
проведения процесса окисления для различных температур водяного пара.
В производстве полупроводниковых приборов и интегральных микросхем широкое
применение нашли двух- и трехступенчатый способы термического окисления
кремния. Эти способы основаны на последовательном использовании в качестве
окислителей сухого кислорода, влажного кислорода или водяного пара и снова
сухого кислорода. Такой технологический процесс образования защитной
диэлектрической пленки оксида кремния вызван тем, что оксид, выращенный в
атмосфере сухого кислорода, имеет более совершенную структуру пленки, но малую
скорость ее роста, а выращенный в атмосфере влажного кислорода и паров воды
имеет менее совершенную структуру, но более высокую скорость роста.
Поэтому первая стадия в сухом кислороде многоступенчатого способа
окисления направлена на получение тонкой пленки оксида кремния с совершенной
структурой, вторая стадия (во влажном кислороде) применяется для убыстрения
процесса окисления и наращивания достаточной по толщине пленки оксида, а третья
стадия (в сухом кислороде) — вновь для получения совершенной структуры оксида
на поверхности кремния.
Предельная толщина термически выращенной пленки не превышает 1 —1,5 мкм.
Для практических целей планарной технологии толщина оксидных защитных пленок
должна составлять 0,2— 0,8 мкм. Это продиктовано тем, что при использовании
пленок толщиной более 0,8 мкм клин травления при проведении процесса
фотолитографии возрастает и ограничивает возможность получения микроизображения
требуемого размера. При использовании пленок толщиной менее 0,2 мкм
увеличивается вероятность появления в ней сквозных отверстий и пор, которые при
диффузии приводят к локальному проникновению диффузанта в подложку.
6. Пиролитическое осаждение оксидных пленок кремния
Наиболее простым и технологичным способом образования оксидов кремния без
участия материалов подложки является пиролитическое разложение различных
кремнийорганических соединений. Следовательно, этот способ дает возможность осаждать
оксидные пленки кремния на подложку практически из любого материала. Другим
важным преимуществом данного способа является то, что он позволяет свести к
минимуму перераспределение примесей, которое имело место в исходной подложке,
т. е. сохранить геометрические размеры и электрические параметры активных и
пассивных областей подложки. Третьим достоинством способа является более низкая
температура процесса.

Рис. 6. Зависимость толщины пленки SiO2, выращенной в атмосфере влажного кислорода при температуре 1200°С, от
времени для различных температур водяного пара, °С

Рассмотрим два варианта данного способа, которые нашли широкое применение
при изготовлении полупроводниковых приборов я интегральных микросхем.
Термическое разложение тетраэтоксилана Si(OCHs) 4. Этот процесс может проводиться
непосредственно над поверхностью подложки либо в отдельной камере, из которой
продукты реакции транспортируются к подложке. Реакция разложения тетраэтоксилана происходит при
температуре 700—750°С. В результате реакции выделяются диоксид кремния, оксид
кремния, оксид углерода и органические радикалы в газообразной форме.
Источником кислорода в этой реакции служит сам тетраэтоксилан, а не внешний
источник. На рис. 7 приведены графики зависимости толщины пленки от времени
проведения процесса.
Если реакция разложения тетраэтоксилана проводится в одной камере с
подложкой, то температура подложки соответствует температуре пиролиза. Если
реакция разложения проходит в одной камере, а подложки находятся в другой
камере, то температура подложек может быть значительно снижена по сравнению с
температурой пиролиза.
Окисление силана кислородом. Преимущество этой реакции перед предыдущей
заключается в том, что в этом случае не происходит образования газообразных
органических радикалов и углерода, а сама реакция идет при более низкой
температуре.
Окисление моносилана кислородом является перспективным методом в
полупроводниковой технологии, так как он дает возможность осаждать оксидные
пленки кремния на интерметаллические соединения типа AhiBv и A11Bvi без нарушения их стехиометрического состава. Для протекания реакции
образования диоксида кремния внешний нагрев не требуется, однако для получения
оксидных пленок кремния более высокого качества процесс проводят при
температуре 150—300°С:

Исходными веществами для проведения этого процесса являются газовые смеси,
которые включают в себя высокочистый моносилан SiH4, аргон или азот (газы-носители) и кислород. Контролируемое окисление
сильно разбавленного инертным газом силана (3—10%) й позволяет
реализовать осаждение диоксида кремния в широком диапазоне температур со
скоростью 10—50 нм/мин.
Температурный интервал осаждения оксидных пленок кремния определяется
концентрациями моносилана и окислителя. При изменении концентрации моносилана
от 0,8 до 0,015 об. % для постоянного отношения силан: окислитель= 1: 3
температура процесса осаждения должна быть увеличена с 140 до 450° С.
Особое внимание следует обращать на минимальную температуру процесса
осаждения. Нижний температурный предел лимитируется двумя факторами: монотонным
увеличением пористости пленки диоксида кремния и гомогенным окислением
моносилана в газовой фазе. Монотонное увеличение пористости пленки связано с
тем, что по мере снижения температуры процесса уменьшается энергия
поверхностной миграции адсорбированных подложкой молекул. Кристаллизация
осаждаемых частиц при этом происходит в положениях, все более далеких от
минимума свободной энергии системы. Это вызывает образование рыхлых, пористых
пленок с низкой электрической прочностью и невысокой адгезией к подложке. При
температурах проведения процесса осаждения ниже 150° С происходит отложение
частиц диоксида кремния в виде мелкодисперсного белого порошка.
Гомогенное окисление моносилана в газовой фазе связано с тем, что чем ниже
температура осаждения оксидной пленки, тем большие концентрации моносилана
необходимы для реализации механизма окисления и, следовательно, все большая
часть моносилана окисляется в газовой фазе, засоряя реакционную камеру и ухудшая
качество образующейся пленки.
В качестве окислителя кроме кислорода могут быть использованы
кислородсодержащие соединения, такие, как N2O, CO2, H2O. Использование в качестве окислителей закиси азота и углекислого газа
позволяет практически исключить гомогенное окисление, однако при этом
невозможно реализовать осаждение пленок диоксида кремния в диапазоне температур
200—350° С.
Контролируемое окисление моносилана (кислородом), достаточно сильно
разбавленного инертными газами, позволяет получать пленки SiO2 в широком диапазоне температур (200—500°С), при этом скорости осаждения
пленок достигают значений порядка 50— 100 нм/мин.
Следует отметить, что пленки SiO2, полученные
данным методом, равномерны по толщине по всей поверхности пластины, обладают
достаточной сплошностью, стабильностью химического состава и хорошей
маскирующей способностью при проведении процессов диффузии. Отличительным
признаком пленок SiO2, полученных этим
методом, является более высокая скорость их травления.
Анодное окисление кремния
Анодное окисление кремния является одной из основных электродных реакций,
происходящих на поверхности исходной пластины при воздействии на нее
электролита и электрического тока. Метод анодного окисления включает две
модификации: окисление поверхности кремния в жидком электролите и окисление в
газовой плазме. В первом случае процесс называют электролитическим
анодированием, во втором — газовым анодированием.
Электролитическое анодирование. При обычных
условиях поверхность кремниевых пластин покрыта тонкой пленкой оксида толщиной
около ЗОА. Эта оксидная пленка разделяет вещества, которые участвуют в реакции
анодного окисления. Поэтому дальнейший рост оксидной пленки возможен только при
переносе за счет диффузии или миграции ионов реагирующих веществ через эту пленку.
Скорость роста пленок SiO2 на кремнии в
жидком электролите, не растворяющем эти пленки, зависит от электростатического
поля в слое оксида, стимулирующего миграцию ионов. Считают, что подвижным
компонентом в рассматриваемом случае является ион кремния. Поэтому процесс
выращивания анодных оксидных пленок может быть описан как процесс переноса
ионов кремния через границу раздела оксид — кремний и через оксид к границе
раздела оксид — электролит, где происходит реакция окисления.
Присутствие ионов в электролите у границы с оксидом заметно влияет на
скорость окисления, а также на предельную толщину оксидной пленки. Толщина
пленки при анодном окислении определяется значениями напряжения пробоя и
ионного тока. Регулирование значения общего тока в процессе анодного окисления
может осуществляться при постоянном токе, при постоянном напряжении и при
комбинации этих величин.
Рассмотрим окисление при постоянном токе. Для поддержания постоянного
ионного тока через оксид необходимо, чтобы с увеличением толщины оксидной
пленки возрастало падение напряжения в этой пленке. Поэтому анодирование при
постоянном токе можно характеризовать как скорость роста напряжения в оксиде.
Скорость изменения напряжения приблизительно пропорциональна току.
Следовательно, чем выше плотность ионного тока, тем быстрее повышается
напряжение и быстрее растет оксид. При этом типичное значение коэффициента
полезного выхода ионного тока составляет около 1% от выхода электролитических
реакций. Анодное окисление при постоянном токе может продолжаться до тех пор,
пока напряжение не достигнет определенного значения, зависящего от типа
электролита и конструкции установки, после чего происходит пробой оксидной
пленки.
В случае окисления при постоянном напряжении между анодом и катодом
первоначальный ток, возникающий вследствие ионной проводимости оксида,
определяется сопротивлением электролита, толщиной первоначального слоя оксида
на кремниевой пластине и поляризацией, связанной с образованием «двойного слоя»
в электролите. По мере роста оксида электрическое поле в нем уменьшается, что
приводит к уменьшению тока, проходящего через оксид. В результате рост оксида
замедляется.
Большую роль в получении воспроизводимых результатов анодного окисления
играет выбор электролита и процент содержания в нем влаги. Могут быть
использованы самые различные электролиты на основе азотной, борной или
фосфорной кислот с добавками нитрата натрия, нитрата калия, бихромата аммония и
др.
Газовое анодирование кремния аналогично электролитическому с той лишь
разницей, что вместо электролита используется газ. Этот метод применяется при
выращивании толстых оксидных пленок. Кислородная плазма, возбуждаемая полем
высокой частоты, служит источником отрицательно заряженных кислородных ионов.
Ионы кислорода из плазмы взаимодействуют с поверхностью кремниевой пластины.
Рост оксида зависит от режима проведения анодного окисления: от давления внутри
рабочей камеры, температуры и плотности плазмы.
8. Осаждение пленок оксида кремния термическим испарением
Для нанесения защитных пленок оксида кремния используют два метода,
основанные на испарении монооксида кремния. В первом методе используется технический
порошкообразный монооксид кремния. Второй метод заключается в том, что кремниевый электрод нагревается в атмосфере
кислорода. При этом его поверхность покрывается монооксидом, который легко
испаряется, так как обладает более высоким, чем у кремния, давлением паров.
Оксиды, получаемые путем напыления на полупроводниковую подложку,
представляют собой комплексы вида Si—SiO—SiO2-. При использовании
в качестве источника испарения порошка монооксида кремния одним из наиболее
важных моментов для получения однородной защитной оксидной пленки является
конструкция лодочки для порошка монооксида кремния. Скорость испарения зависит
от геометрии лодочки, температуры, давления, а также от однородности порошка
монооксида. При использовании какого-либо определенного источника скорость
испарения регулируют изменением электрической мощности, служащей для нагрева
лодочки. Кремниевые пластины при этом методе осаждения защитной пленки
нагревают до 300° С и выше, чтобы получить хорошую адгезию защитной пленки к
исходной пластине. Если осаждение производится с малой скоростью, но при
высоком парциальном давлении кислорода, то пленка обладает такими же
характеристиками, как и пленка SiO2. При больших
скоростях осаждения или при более низком парциальном давлении кислорода
оптические характеристики осажденной пленки сходны с характеристиками,
присущим» пленкам SiO.
Защитные пленки, обладающие свойствами пленок SiOa, получают обычно
при температуре источника 1300—HOO0C и суммарном давлении менее 6,5· IO-4 Па. >
Для получения оксидных пленок методом напыления в вакууме в качестве
источника можно использовать кремний. При этом определяющую роль играет реакция
у поверхности кремния. Температура и парциальное давление кислорода у этой
поверхности определяют скорость адсорбции кислорода на поверхности кремния и
испарения S1O2. Кремний
нагревается до температуры 700— IOOO0C Парциальное давление кислорода должно быть таким, чтобы на поверхности
кремниевого источника обеспечивалась реакция Si-f-O—*-SiO. Указанным
методом на исходной полупроводниковой пластине можно получить оксидную пленку
толщиной 0,1 мкм при температуре 900°С и давлении 1,3· IO-4 Па в течение 30 мин. При подогреве подложки, на которой располагаются
пластины, улучшаются адсорбция паров оксида и адгезия их к полупроводниковым
пластинам. Во избежание испарения осажденной пленки оксида температура пластин
должна быть на 100—200° С ниже температуры источника.
9. Реактивное катодное распыление оксида кремния
Метод реактивно-катодного распыления оксида кремния основан на
использовании электрического разряда между электродами при низком давлении
окисляющего газа. Под действием бомбардировки ионизированными молекулами газа
материал катода испаряется в виде свободных атомов или в виде соединений,
образующихся при реакции катода с остаточными молекулами газа. Перенос
распыленных частиц происходит либо за счет их кинетической энергии, либо за
счет диффузии, если столкновения с остаточными молекулами газа заметно снижают
их кинетическую энергию.
Методом реактивно-катодного распыления можно получать пленки оксида
кремния, подвергая распылению в присутствии кислорода кремниевую мишень. Обычно
этот процесс проходит при давлении 0,4 Па и напряжении 1500—2000 В. Скорость
роста: пленки оксида кремния увеличивается при введении в кислородную атмосферу
небольших количеств аргона.
Разновидностью реактивно-катодного распыления является метод, при котором
плазма получается с помощью высокочастотного разряда. По данному методу
защитные оксидные пленки получают при давлении 26,5—133 Па и напряжении 3—5 кВ.
Хорошая контролируемость процесса реактивно-катодного распыления позволяет
автоматизировать процесс осаждения защитных пленок оксида кремния на подложки
из полупроводникового материала.
10. Химическое осаждение пленок нитрида кремния
Наряду с защитными диэлектрическими пленками диоксида кремния в
производстве полупроводниковых приборов и интегральных микросхем все более
широкое применение находят пленки нитрида кремния.
Пленки нитрида кремния обладают меньшей проницаемостью для диффузантов,
используемых в обычной планарной технологии, чем пленки диоксида кремния.
Поэтому пленки нитрида кремния получают более тонкими. Это является важным фактором
для фотолитографии, способствующим увеличению ее разрешающей способности.
Пленки нитрида кремния можно выращивать во много раз быстрее, чем пленки
диоксида кремния, и при более низких температурах.
Рассмотрим несколько способов химического осаждения пленок нитрида
кремния.
Реакция взаимодействия кремния с азотом. Для осуществления химической
реакции нитрирования необходима температура J100— 1300°С:
3Si + 2N2 - Si3N4
Обычно этим способом пользуются для получения нитрида кремния как
тугоплавкого материала. В данной реакции чистый азот может быть заменен
аммиаком, который диссоциирует при высокой температуре и взаимодействует с
кремнием легче, чем молекулярный азот.
Пленки нитрида кремния могут быть получены методом открытой трубы. В
рабочей камере располагают пластины кремния и пропускают через нее поток азота.
При температуре 1200°С и скорости потока азота 300 см3/мин на
поверхности пластин кремния образуется пленка нитрида кремния.
Реакция взаимодействия силана с аммиаком. Для протекания химической реакции
азотирования силана аммиаком необходима температура 700—11000 C Таким образом, по
сравнению с предыдущей реакцией рабочие температуры процесса осаждения пленок
нитрида кремния значительно ниже. В рабочую камеру с кремниевыми пластинами в
потоке водорода со скоростью (Зч-5) подаются силан и аммиак в соотношении 1:20.
Избыток водорода препятствует преждевременному разложению силана. В рабочей
камере при температуре выше 500°С происходит разложение силана и взаимодействие
его с аммиаком:
3SiH4 + 4NH3 — Si3N4 + 12Н2
Образовавшийся в результате реакции нитрид кремния осаждается на
поверхности кремниевых пластин.
Скорость роста пленки нитрида кремния зависит от концентрации силана в
рабочей камере и температуры проведения процесса (рис. 8). Из графика видно,
что при температуре 1250°С скорость осаждения замедляется, а при температуре выше
1250°С
значительно уменьшается. Это объясняется недостатком силана в рабочей
камере вследствие его интенсивного разложения при повышенных температурах.
Обычно пленки нитрида кремния осаждают на подложки при температуре
800—900°С с использованием рабочей смеси, состоящей из водорода или аргона,
используемых в качестве газов-носителей и реагентов: силана (до 1%) и аммиака
(до 3%). Расход рабочей смеси устанавливают равным 1000 см3/мин.
Время процесса выбирают из условия требуемой толщины пленки. В качестве
газа-носителя наряду с водородом и аргоном могут быть использованы азот или
оксид азота.

Рис. 8. Зависимость
скорости осаждения пленок Si3N4:
Реакция взаимодействия тетрахлорида кремния с аммиаком. Образование пленки
нитрида кремния при взаимодействии тетрахлорида кремния с аммиаком протекает в
несколько стадий. На начальной стадии образуется диимид кремния:

При комнатной температуре эта реакция дальше не идет. Происходит
полимеризация диимида кремния.
Если температуру повысить до 400°С, то пойдет реакция

Если температуру повысить до 650°С, реакция идет дальше:

Завершающая стадия образования нитрида кремния проходит при температуре
1100—1250°С:

В результате образуются кристаллиты нитрида кремния б-модификации. Если
завершающую стадию реакции проводить при температуре 4000C, то образуется полностью аморфная пленка нитрида кремния на поверхности
подложки.
Следует отметить, что с увеличением толщины пленки нитрида кремния (свыше
1 мкм) в них возникают трещины. Наличие трещин — результат высокого значения
модуля упругости нитрида кремния, различия в коэффициентах термического
расширения кремния и нитрида кремния, а также следствие неоднородности
структуры подложки и нитридной пленки.
Процесс осаждения пленок нитрида кремния проводят в кварцевой трубе, в
которую подают смесь тетрахлорида с аммиаком. В качестве газа-носителя
используют водород, аргон или азот. Скорость подачи смеси газа-носителя с
реагентами выбирают равной (5н-4-10) 103 см3/мин.
Скорость осаждения пленки нитрида кремния зависит от температуры
проведения процесса и соотношения между тетрахлоридом и аммиаком.
На рис. 9 приведена зависимость скорости осаждения пленки нитрида кремния
от температуры для двух соотношений между тетрахлоридом и аммиаком.
Кроме тетрахлорида кремния для осаждения пленок нитрида кремния можно
использовать галогенированные силаны типа "Hi-nSiXn, где X — галоген; п=1, 2, 3, 4. Реакция
образования пленки нитрида кремния имеет вид

В качестве газов-носителей используют, как и в предыдущем случае, водород,
аргон или азот. Температура проведения процесса осаждения для этих реагентов
может быть снижена до 750— Э80°С. Скорость роста пленок нитрида кремния для
этого процесса в большой степени зависит от технологических режимов.
Реакция взаимодействия силана с гидразином. Для осаждения яленок нитрида
кремния вместо аммиака используют гидразин N2H4. Реакция в этом случае идет по следующей схеме:
SiH4 + N2H4 Si (NH)2 + ЗНг
2Si (NH)2 — (SiN)2 NH + NH3
3 (SiN)2
NH — 2Si3N4 + NH3
При использовании реакции взаимодействия аммиака с силаном температура осаждения
пленок нитрида кремния не может быть ниже 750°С. Применение гидразина вместо
аммиака позволяет снизить рабочую температуру процесса до 550°С,.так как
гидразин разлагается при более низких температурах. Осаждение пленок проводят в
кварцевой трубе, через которую пропускают газ-носитель и смесь силана с
гидразином.

Рис. 9. Зависимость скорости осаждения пленок Si3N4 от температуры
На рис. 10 показана зависимость скорости осаждения пленок нитрида кремния
от температуры для двух различных соотношений концентраций силана и гидразина.
Реакция взаимодействия тетрабромида кремния с азотом. Реакция осаждения
нитрида кремния идет при температуре 950°С и имеет вид

Рис. 10. Зависимость скорости осаждения пленок S13N4 от температуры
На рис. 11 показана схема установки для проведения процесса нанесения
пленок нитрида кремния на подложки с использованием рассмотренных реакций:
SiH4-T-NH3; SiCl4 + NHs; SiH4 + + N2H4; SiBr4 + N2.

Рис. 11. Схема установки для осаждения пленок SіNi:
1 — блок очистки водорода; 2 — источник SiCI4 или SiBr4; 3 — ротаметры; 4 — краны: 5 — выпуск
избыточных газов; S — смесительная камера; 7 — пластины; 4 — нагреватель: 9 — рабочая
камера
11. Реактивное катодное осаждение пленок нитрида кремния
Достоинство этого метода состоит в том, что реакция между кремнием и
азотом происходит при комнатной температуре окружающей среды за счет энергии
газового разряда, между анодом и катодом в рабочей камере.
Нанесение пленок нитрида кремния проводят в специальных установках
катодного распыления при постоянном токе с холодным или горячим катодом.
Для проведения процесса катодного осаждения используют катод из
высокочистого кремния в виде плоской пластины большого (80—120 мм) диаметра.
Анодом служит подложка. При подаче на катод высокого напряжения (1-—3 кВ) в
пространстве между анодом и катодом возникает аномальный тлеющий разряд,
который ионизирует газ внутри рабочей камеры. Специфика аномального тлеющего
разряда состоит в том, что в непосредственной близости около катода образуется
настолько сильное электрическое поле, что образовавшиеся при разряде
положительно заряженные ионы газа, ускоряемые этим полем и бомбардирующие
катод, выбивают из него не только дополнительные электроны (необходимые для
поддержания разряда), но и атомы материала катода.
В течение этого процесса кремниевый катод постепенно разрушается. Поэтому
в производственных условиях, когда процесс катодного распыления используется
длительное время, катод подлежит замене после определенного срока службы.
Технологический процесс катодного осаждения пленок нитрида кремния
включает в себя предварительную откачку воздуха из рабочей камеры с целью
удаления имеющихся в воздухе загрязнений.
Откачку обычно проводят до давления 1,3· 10~3—1,3· 10~4
Па, а затем в рабочую камеру вводят смесь газов аргона и азота, предварительно
очищенных от влаги и кислорода. Давление в рабочей камере при этом
устанавливают равным 1,3—13 Па.
Азот, участвующий в процессе, является реактивным газом, а аргон
используется для повышения эффективности процесса распыления. Требование по
отсутствию кислорода в рабочей камере продиктовано тем, что кремний
взаимодействует с кислородом значительно лучше, чем с азотом. Поэтому даже
незначительное количество кислорода в рабочей камере приводит к образованию
пленки диоксида кремния на поверхности подложки.
На процесс катодного осаждения оказывают влияние катодный ток и расстояние
между анодом и катодом. При плотности катодного тока 0,2—0,8 мА/см2
и расстояния между анодом (подложкой) и катодом (пластина кремния) 2—5 см можно
получить скорость осаждения нитрида кремния 0,01—0,05 мкм/мин.
Применение катода с поверхностью, большей или равной поверхности подложки,
позволяет получать осажденные пленки нитряда кремния одинаковой толщины с
разбросом, не превышающим 5%.
Реактивное ионно-плазменное осаждение пленок нитрида кремния является разновидностью катодного способа.
Отличительной особенностью реактивного ионно-плазменного способа является то,
что высокое отрицательное напряжение прикладывается не к катоду, а к
дополнительному электроду, называемому мишенью. Отсюда следует, что и распыляемый
материал (кремний) будет служить не катодом, а мишенью.
Второй отличительной особенностью является введение в рабочую камеру
устройства для расположения подложек, на которые будет происходить осаждение
нитрида кремния.
Третья особенность ионно-плазменного способа состоит в том, что в
промежутке между подложкой и мишенью располагают анод и катод, между которыми
создают несамостоятельный дуговой разряд. Для этого между анодом и катодом
прикладывают напряжение порядка 100—300 В, а в рабочем объеме создают давление
0,13—0,013 Па. В этом случае катод эмитирует электроны, которые, взаимодействуя
с рабочим газом, создают электронно-ионную плазму.
Положительные ионы плазмы бомбардируют кремниевую мишень и выбивают из нее
атомы кремния. Выбитые из мишени, они реагируют с азотом, находящимся внутри
рабочей камеры, и образуют нитрид кремния, который осаждается на подложке.
Таким образом, принципиальных различий между процессами катодного и
ионно-плазменного осаждения нитрида кремния нет. Обычно различают лишь конструкции
установок, которые характеризуют по числу рабочих электродов как двух- и
трехэлектродные.
Начало и конец процесса осаждения пленок нитрида кремния определяются
подачей и отключением высокого напряжения на мишени.
12. Контроль качества защитных диэлектрических пленок диоксида и нитрида
кремния
При использовании защитных диэлектрических пленок SiO2 и Si3N4 в процессах
планарной технологии подвергают контролю три основные характеристики: толщину
пленки, наличие в ней сквозных отверстий (пористость) и количество дефектов на
границе раздела кремний — защитная пленка.
Толщина защитной диэлектрической пленки является главным критерием,
определяющим максимальную глубину проникновения легирующей примеси в
полупроводниковые кристаллы при проведении процесса диффузии в планарной
технологии.
Наличие сквозных отверстий (пор) в защитной пленке приводит к паразитному
легированию исходной подложки и замыканию отдельных активных областей
транзисторных структур интегральной микросхемы при проведении процессов локальной
диффузии.
Количество дефектов на границе кремний — защитная пленка связано с
плотностью зарядов на этой границе. Увеличение плотности зарядов приводит к ухудшению электрических параметров готовых
полупроводниковых приборов и интегральных микросхем.
Таким образом, контроль рассмотренных характеристик защитных
диэлектрических пленок позволяет оценить возможность их применения в
последующих технологических процессах.
Контроль толщины защитных
диэлектрических пленок. Толщина защитных диэлектрических пленок определяется с помощью следующих способов:
микровзвешивания, интерферометрии и эллипсометрии.
Способ микровзвешивания основан на точном
взвешивании подложки до и после осаждения пленки. Толщина пленки

где Pi — масса подложки без
пленки; P2— масса подложки с пленкой; s — площадь пленки; d — плотность
пленки.
Точность определения толщины пленки этим способом зависит в первую очередь
от чувствительности весов и точности взвешивания, а
также от точности определения площади пленки и ее плотности.
Цветовой метод определения толщины пленок
Наиболее простым из существующих интерференционных методов определения толщины пленок SiCb и S13N4 является цветовой. Он основан на гасящей интерференции белого света, падающего на поверхность
подложки с защитной пленкой. Цвет поверхности пленки S1O2 или S13N4 создается
равномерным белым светом за вычетом той его части, которая участвует в гасящей
интерференции. Отсутствие некоторых компонентов спектра белого света в отраженной волне воспринимается глазом как определенный цвет защитной
пленки. Падающая и отраженная волны являются дополнительными: вместе они дают
белый свет.
При нормальном падении белого света на поверхность пластины с защитной пленкой условие гасящей интерференции имеет вид

где d — толщина пленки S1O2 или S13N4; з — коэффициент преломления пленки S1O2 или S13N4; k=l,
2, 3 — порядок интерференции; л — длина волны
падающего света.
Таким образом, определенный цвет поверхности защитной пленки соответствует
ее толщине, причем с увеличением толщины пленки один и тот же цвет повторяется с изменением порядка интерференции.
Следовательно, для определения действительной толщины необходимо не только
зафиксировать цвет поверхности пленки, но и определить порядок интерференции.
Цвет поверхности пленки необходимо наблюдать и фиксировать при нормальном
падении света, так как при косом падении света цвет пленки изменяется в зависимости
от ее толщины и коэффициента преломления.
Порядок интерференции на практике определяют следующим образом. Пластину,
например, с пленкой SiO2, одним концом
опускают в плавиковую кислоту на 1—2 мин для получения слоя клиновидной формы.
После этого наблюдают цвета как на однородной по толщине пленке S1O2, так и на клиновидном участке. На однородном участке пленки будет
какой-либо один цвет, а на клиновидном имеет место чередование определенных
цветов в зависимости от толщины пленки. По какому-либо одному повторяющемуся
определенное число раз цвету полосы (например, красному или зеленому) судят о
порядке интерференции.
Недостатком цветового метода является то, что определение цвета пленки
зависит от индивидуальных возможностей и особенностей каждого человека.
Относительная ошибка цветового метода определения толщины пленки не
превышает 10%.
Эллипсометрический
метод измерения толщины
пленок SiO4 и S13N4 основан на отражении линейно поляризованного луча от поверхности защитной
пленки. При отражении учитывается тот факт, что компонента, перпендикулярная
плоскости падения, отражается иначе, чем компонента, лежащая в плоскости
падения. В результате образуется эллиптически поляризованная отраженная волна.
Измерив эллиптичность отраженной волны, можно определить толщину пленки,
вызвавшей соответствующие изменения поляризации падающей волны. Обычно для
оценки толщины пленки, т. е. для оценки отраженной волны в эллипсометрическом
методе, используются соотношения между фазой и амплитудой падающей волны и
фазой и амплитудой волны, отраженной от поверхности пленки. В качестве
источника света могут быть использованы лазеры.
Эллипсометрический метод позволяет наиболее точно измерить толщину пленки.
Этот метод обычно применяется для измерения пленок, толщина которых на порядок
меньше, чем допускают другие методы.
Контроль пористости защитных диэлектрических пленок
Наличие сквозных отверстий (пор) в пленках SiCb и Si3N4 является наиболее распространенным видом дефекта, который приводит к
значительному браку при последующих операциях в планарной технологии. Поэтому
требуется тщательный контроль пластин после операции осаждения защитных
диэлектрических пленок.
Для определения пористости пленок используют методы электролитического
осаждения меди, диффузионного легирования и электрографический.
Метод электролитического осаждения меди состоит в следующем. Пластину кремния с нанесенной пленкой SiO2 помещают в электролит, содержащий ионы меди. На эту пластину подают
отрицательный потенциал. Положительный потенциал подают на медную пластину,
которая находится также в электролите и служит вторым электродом. В процессе
электролиза ионы меди осаждаются на кремний в тех местах, где имеются сквозные
отверстия (поры). По количеству осажденных островков меди судят о качестве
пленки, Под микроскопом определяют количество пор и их геометрические размеры.
Метод диффузионного легирования заключается в
проведении диффузионного процесса примеси, создающего в исходном
полупроводниковом материале противоположный тип электропроводности. После проведения
процесса диффузии в тех местах пленки, где имели место сквозные отверстия,
образуются локальные р-«-переходы (участки с противоположным типом
электропроводности). Далее защитную пленку удаляют с поверхности подложки и по
количеству локальных р-я-переходов судят о количестве пор в пленке.
Рассмотренные методы имеют существенный недостаток — они исключают
возможность использования исследуемого образца в дальнейших технологических
процессах.
Наиболее простым и достаточно эффективным неразрушающим методом контроля
пористости, позволяющим точно и быстро определять местонахождение,
геометрические размеры и плотность сквозных отверстий в пленках, является электрографический метод. Этот метод
позволяет обнаружить сквозные отверстия диаметром до 0,1 мкм.
Методика проведения контроля пористости пленок состоит в наложении на
поверхность пластины с пленкой фотобумаги, предварительно, смоченной в 3—4%-ном водном
растворе гидрохинона. К пластине с фотобумагой прижимают два металлических
диска-электрода, через которые пропускают электрический ток. Так как
фотобумага, смоченная в растворе
гидрохинона, является проводящей, то ток через нее будет проходить лишь в тех
локальных местах, где имеются сквозные отверстия в пленке. Электрический ток,
протекающий через поры в пленке, действует на эмульсию фотобумаги подобно
световому потоку, образуя изображение в виде черных точек и островков.
Количество и размеры дефектов пленки определяют визуально под микроскопом.
Контроль качества дефектов на
границе раздела кремний — защитная пленка. Для осуществления этого вида контроля изготовляют так называемые МДП-структуры
(металл — диэлектрик—полупроводник). На поверхность защитной диэлектрической
пленки осаждают слой металла.
На таких МДП-структурах измеряют вольтфарадные характеристики. По сдвигу
между теоретической и экспериментальной вольтфарадной характеристиками можно
непосредственно определить эффективную плотность поверхностных состояний, в
которую входят плотность поверхностных состояний на границе полупроводник —
защитная пленка и заряд в пленке.